Question
Question: \[{[{\text{Co}}{{\text{F}}_6}]^{3 - }}\] is a coordination complex ion. How many unpaired electro...
[CoF6]3−
is a coordination complex ion. How many unpaired electrons are there in the complex?
Solution
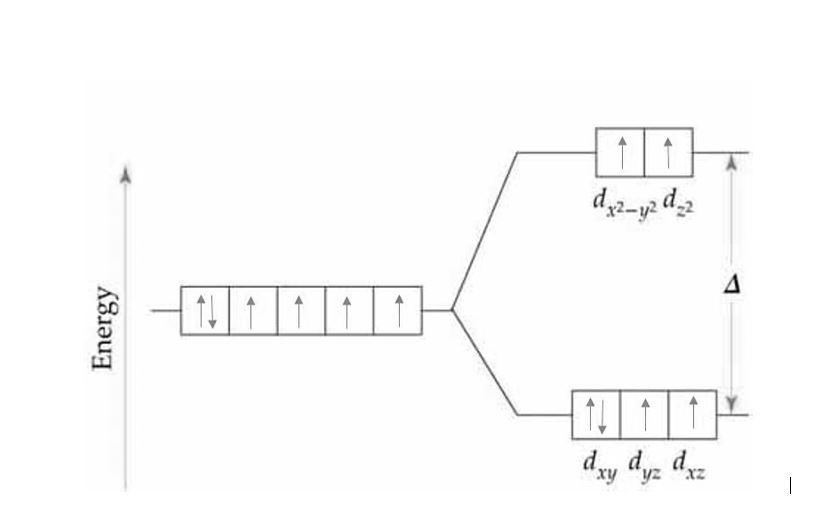
Hint: F is a weak field ligand which causes small crystal field splitting. Weak ligands lead to formation of high spin complexes.
Complete answer:
We will first calculate the oxidation state of Co
in [CoF6]3−
We take the oxidation state of Co
as ‘x’ and the charge on one is −1. Total charge on the complex is - 3.
So, x + ( - 6) = - 3
x = - 3 + 6
x = + 3
The outer electronic configuration of Cois [Ar] 3d74s2.
So, in Co+3it becomes [Ar] 3d6.
Since F is a weak field ligand, it will lead to splitting of d orbitals. First it leads to t2gto be half filled and then egto be half filled too and then pairing will occur. 
Hence, there will be 4 unpaired electrons.
Additional information: Crystal field splitting describes breaking of orbitals in complex formed by transition metal ions due to ligands. It considers the bond between metal and ligand to be purely ionic. Theory says that this bond arises due to electrostatic interactions between metal and the ligand. In case of anionic complexes, ligands are considered as point charges. It is a qualitative measure of the strength of metal-ligand bond.
[CoF6]3−is a high spin complex since fluorine is a weak field ligand that causes small splitting. On the other hand, ligands that cause large crystal field splitting, result in formation of low spin complexes and are called strong ligands.
Note: To remember this easily, we will keep in mind that weak field ligands form high spin complexes and strong field ligands form low spin complexes.
