Question
Question: Sum of alpha-hydrogen in \( A+B+C \) is: 
(A) 17
(B) 18
(C) 19
(D) 20
Solution
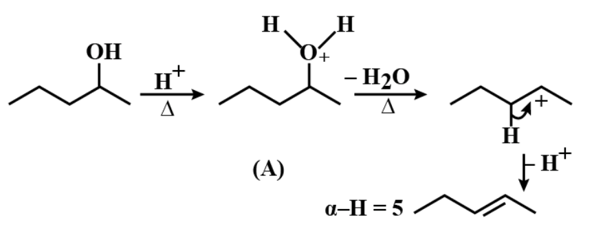
We know that the first carbon atom in an organic molecule that attaches to a functional group such as carbonyl is known as the alpha carbon and represented as Cα. The hydrogen atom which is attached to an alpha carbon is called alpha hydrogen and represented as Hα.
Complete answer:
The second carbon atom in an organic molecule which attaches to the alpha carbon is known as the beta carbon and represented as Cβ. The hydrogen atom which is attached to a beta carbon is called beta hydrogen and represented as Hβ. Let us open and draw the structure given in the question and try identifying the alpha hydrogens and alpha carbons in the molecule;

The carbons marked with black stars are the alpha carbons and the hydrogens attached to hybridized alpha carbon which is directly attached to sp3 the carbocation are called the alpha hydrogens.

Similarly,

Therefore, Sum of alpha-hydrogen in A+B+C is 19.
Note:
Remember that due to the acidic nature of alpha hydrogens in aldehydes and ketones, they undergo many reactions. The acidity of alpha hydrogen of ketones or aldehydes is due to the strong electron-withdrawing nature of the carbonyl groups and resonance stabilization of the conjugate base.
