Question
Question: Study the pedigree chart of the family showing the inheritance of sickle cell anemia. The trait trac...
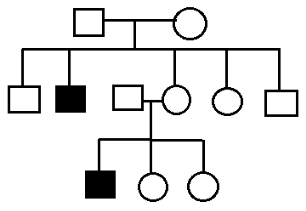
Study the pedigree chart of the family showing the inheritance of sickle cell anemia. The trait traced in the above pedigree chart is

A) Dominant X- linked
B) Recessive X- linked
C) Autosomal dominant
D) Autosomal recessive
Solution
A pedigree is a visual chart which depicts a history of a family or the transmission of a specific trait. They can be important and interesting tools in determining patterns of inheritance of certain traits. These are also used when trying to determine the predisposition of someone to carry certain hereditary disease.
Complete answer:
The square shapes are used to indicate the male in the family, and circles are used to indicate females. If any individual is affected by a trait either recessive or dominant, we darken the shape. A line between the circle and square indicates marriage or union. The line drawn from the marriage line indicates an offspring. Some shapes filled only half way indicate a hybrid or carrier of the trait.

In the above pedigree chart generation, parents are unaffected by the disease, but the offspring is affected. Based on this, we can understand that, autosomal recessive trait is traced in the above pedigree chart. If an offspring is affected, even if both the parents are unaffected, then the trait must be recessive (parents are heterozygous carriers).
Every offspring must exhibit the trait if both parents show a trait (homozygous recessive) X-linked dominant inheritance is also referred as X-linked dominant. It is a mode of genetic inheritance by which the dominant gene is carried on X chromosome.
X-linked recessive inheritance is a type of genetic conditions associated with the mutations in genes on the X chromosome. A male carrying this type of mutation will be affected, since he carries only one X chromosome. A woman carrying mutation in one gene, with a normal gene on another X chromosome, is generally unaffected.
Autosomal dominance is a pattern of inheritance of some genetic diseases. Autosomal refers to the gene in question is located on one of the non-sex or numbered chromosomes. The word Dominant implies that a single copy of disease-associated mutation is enough to cause the disease.
Therefore, the answer is option D.
Note:
In a pedigree, the trait of interest can be either dominant or recessive. When an individual is homozygous recessive, the majority of harmful genetic conditions can be seen. Examples of conditions caused by recessive alleles are: cystic fibrosis, phenylketonuria, albinism, fanconi anemia etc. Genetic conditions caused by dominant alleles are: polydactyly, achondroplasia, etc.
