Question
Question: State any two methods by which ordinary light can be polarized....
State any two methods by which ordinary light can be polarized.
Solution
Polarization is the process of restricting or stopping the vibrations of a transverse wave, fully or partially. This is generally exhibited in light. So there are certain processes of polarization of light and all related to some material which polarizes the light or some phenomenon which polarizes the light.
Complete step by step solution:
Two methods by which ordinary light can be polarized are:
1. Polarization by Double refraction.
2. Dichroism
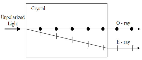
Polarization by double refraction:

Birefringence also is known as double polarization is an optical property in which a single ray of light which is un-polarized enters into an anisotropic medium and splits into two different rays, and both of them travel in a different direction. One of the rays is known as an extraordinary ray and the other is known as an ordinary ray. The extraordinary ray is refracted or bent at a fixed angle as the ray travels through the medium and the other ray that is the ordinary one passes through the medium totally unchanged without any effect. The extraordinary ray of light is the ray which is polarized.
Dichroism:

There are certain crystalline materials that tend to absorb more light in one of the incident planes than another plane, so that light that is moving through the material becomes more and more polarized as they proceed through the crystal. This anisotropy in the absorption of light in one incident plane is known as dichroism. There are several materials that occur naturally and exhibit this property like calcite crystal.
Note: Polarization allows only one single type of wave to stay in light. Polarization is done because it affects the focus of laser beams, can prevent unwanted back reflections, can influence the cut-off wavelength of the filters, etc.
