Question
Question: Seven identical lamps of resistance \[220\Omega \] each are connected to a 220V line as in the figur...
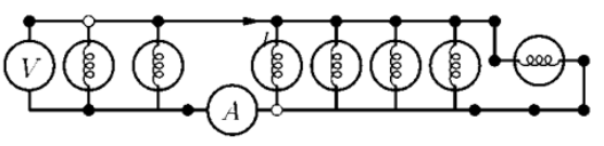
Seven identical lamps of resistance 220Ω each are connected to a 220V line as in the figure. Then the reading in the ammeter will be –

Explanation
Solution
We can find the equivalent resistance of the given circuit by analysing the type of circuit in which the lamps are connected. Once we know the equivalent resistance, we can calculate the current through any part of the circuit.
Complete answer:
The given circuit consists of seven lamps, all of which are of 220Ω each. On closer look, we understand that all the lamps are connected in parallel to each other. So, it is much easier now to calculate the equivalent resistance in the circuit.

