Question
Question: Rayon is chemically known as: A.Cellulose nitrate B.Cellulose C.Cellulose acetate D.Resin...
Rayon is chemically known as:
A.Cellulose nitrate
B.Cellulose
C.Cellulose acetate
D.Resin
Solution
The materials made up of long and repeating chains of molecules are known as polymers. The properties of these molecules depend upon the way of combination and their bonding. Polymers have good strength, some of them are hard and tough.
Complete step by step answer:
Polymers are the long repeating chains of molecules and the process of making polymers is termed as polymerisation, the units which are used to initiate polymerisation are known as monomers.
Rayon is a polymer, actually we can say it is a semi synthetic polymer. It is termed as semi synthetic because it is made up from both natural and artificial monomer units.
The natural component of semi synthetic material Rayon is cellulose which is combined with acetic acid under some conditions and the long chain of these components constitute Rayon.
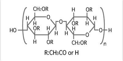
Structure of cellulose acetate:

The mechanism involved in the formation of Rayon is:

The polymerisation reaction starts from the cellulose. The cellulose is passed through the acetic anhydride in the presence of sulphuric acid at low temperature that is why it is termed as ice bath.
Now the obtained product is hydrolysed in presence of the acetic acid which will remove the sulfonyl hydroxide (a leaving group) and our cellulose acetate will be prepared.
Hence we can conclude that Rayon is a semi synthetic polymer which is made up from cellulose (obtained from plants or microorganisms) and acetic acid, therefore it is named cellulose acetate.
Therefore the correct option is C.
Note:
Cellulose acetate also known as Rayon is widely used in fabric industries. It is used as synthetic fiber in various industries such as in manufacturing of frame material of eyeglasses, playing cards and in cigarette industries.
