Question
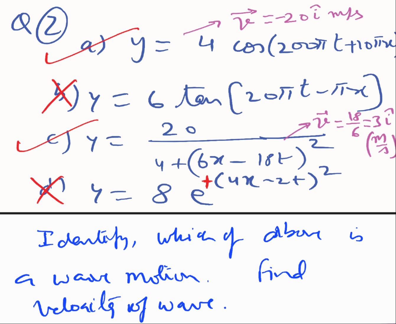
Question: Identify, which of above is a wave motion. find velocity of wave....
Identify, which of above is a wave motion. find velocity of wave.

y = 4 cos(200πt+10πx)
y = 6 tan[20πt-πx]
y = 4+(6x−18t)2+(4x−2t)220
y = 8 e
Option (a) is a wave motion with velocity v = -20i^ m/s.
Solution
A wave motion is described by an equation of the form y=f(ax±bt). The velocity of such a wave is given by v=∣b/a∣.
Option (a): y=4cos(200πt+10πx). This is of the form y=Acos(ωt+kx). Here, ω=200π and k=10π. The wave velocity magnitude is v=ω/k=10π200π=20 m/s. The term (kx+ωt) indicates propagation in the negative x-direction. Thus, the velocity vector is va=−20i^ m/s. This matches the given v.
Option (b): y=6tan[20πt−πx]. This is of the form y=Atan(ωt−kx). Here, ω=20π and k=π. The wave velocity magnitude is v=ω/k=π20π=20 m/s. The term (ωt−kx) indicates propagation in the positive x-direction. Thus, the velocity vector is vb=+20i^ m/s. This does not match the given v.
Option (c): y=4+(6x−18t)2+(4x−2t)220. This equation is not of the form y=f(ax±bt) and does not represent a simple wave motion.
Option (d): y=8e. This is a constant and does not represent a wave motion.
Therefore, option (a) represents the wave motion with the velocity matching the given vector v=−20i^ m/s.
