Question
Question: \(q,2q,3q\;\) and \(4q\;\) charges at the four corners \(A,B,C\;\) and \(D\) of a square. The field ...
q,2q,3q and 4q charges at the four corners A,B,C and D of a square. The field at the centre P of the square has the direction along

A. AB
B. CB
C. AC
D. BD
Solution
The space surrounding a charge where another charge can experience a force is known as the electric field. The intensity of the electrical field at any point is defined as the force experienced by a unit test charge placed at that point. Here we have to find the direction of the electric field at the point P at the centre of the square.
Formula used: E=r2kQ
Where E stands for the electric field at a particular point, k=4πε01 is a constant, Q stands for the charge and r stands for the distance between the charge and the point where we have to find the electric field.
Complete step by step answer:
The direction of the electric field at the point P due to the four charges is as shown in the figure below

The diagonal of the square can be obtained as shown below

If R is the length of the side of the square, then considering the right angled triangle as shown in the figure, the diagonal will be,
d=R2+R2=2R2=2R
The distance between each charge and the point P will be the half of this diagonal.
That is,
r=22R=2R
Now, we can write the electric fields as,
E4q=(2R)24kq
For the charge 3q the electric field will be,
E3q=(2R)23kq
The electric field for the charge 2q can be written as,
E2q=(2R)22kq
The electric field for the charge q can be written as,
Eq=(2R)2kq
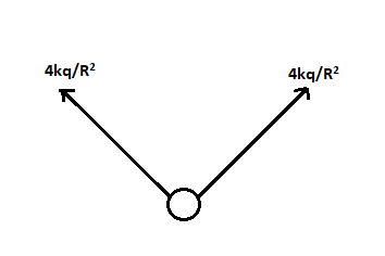
The resultant of this electric fields can be represented by the below diagram,

Now the resultant of E4q−E2q can be written as,
E4q−E2q=(2R)24kq−(2R)22kq
This can be written as,
E4q−E2q=2R22kq=R24kq
The resultant of E3q−Eq can be written as,
E3q−Eq=(2R)23kq−(2R)2kq
This can be written as,
E3q−Eq=2R22kq=R24kq
This can be represented as,

The resultant of these two vectors can be shown as,

The magnitude of this resultant will be
Eres=2×R24kqcos45∘=R242kq (∵cos45∘=21)
The direction of the resultant electric field is along the direction of CB
Therefore, the correct answer is Option (B): CB
Note: The principle of superposition states that the resultant forces acting on a charge in a system of charges is the vector sum of the forces acting on the charge due to all other individual charges in the system. The direction of the force line gives the direction of the electric field.
