Question
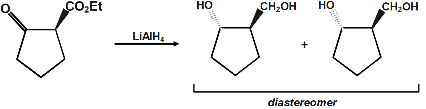
Question: Product of the following reaction: 
A. Racemic.
B. Diastereomer.
C. Meso.
D. Optically pure.
Solution
Isomerism, stereoisomers and diastereomers are all interrelated and interconnected concepts. In order to understand diastereomers, we must first understand isomerism and stereoisomerism. The answer here is based on the basic organic chemistry which includes the fact that the reaction is bromination and bromine adds to double bond and there are two products obtained. This fact leads you to the correct answer.
Complete step by step answer:
In the classes of organic chemistry, we have come across the various concepts relating to stereochemistry of a molecule and the changes in the stereochemistry when it undergoes a reaction. Now, let us focus on what is stereochemistry and how can this be assigned. Thus, stereochemistry is also known as three dimensional chemistry. Stereochemistry also helps chemists to work on the relationships between different molecules that are made up of the same atoms.
Stereoisomers are an iteration of isomers. In stereoisomers, the composition and arrangement remain the same, while the orientations of the parts of the molecule differ in three dimensional spaces. There are two types of stereoisomers: enantiomers and diastereomers. Diastereomers are stereoisomers that are not mirror images of one another and cannot be superimposed or visually identically placed over one another.
Stereoisomers which have two or more stereo centres can be called as diastereomers. On the basis of these definitions we can understand whether or not the given compounds can exhibit diastereomers

Therefore, the above products formed have the same atoms and different t arrangement and these are not mirror images and therefore are not superimposable. Thus, this forms a pair of diastereomers.
So, the correct answer is Option B.
Note: Note that the stereochemistry seems to get easy if the molecules are being imagined in a space and assigning them the structures while writing. This work will help you to solve stereochemistry problems. Enantiomers contain chiral carbons that make them non-super imposable in nature and are mirror images of each other and they exist only in pairs. Enantiomers possess identical physical and chemical properties.
