Question
Question: Phenol on oxidation in air gives: (A) Quinone (B) Catechol (C) Resorcinol (D) o-cresol...
Phenol on oxidation in air gives:
(A) Quinone
(B) Catechol
(C) Resorcinol
(D) o-cresol
Solution
Oxidation in the presence of air means addition of oxygen atoms and removal of hydrogen atoms. So, we can draw all the structure of the given compound and see in which one phenol is undergoing oxidation reaction.
Complete Step by step answer:
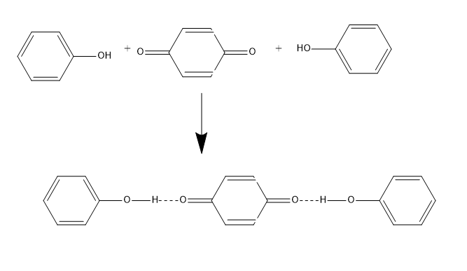
Catechol has an IUPAC name 1,2−dihydroxybenzene and resorcinol is the isomer of catechol and is 1,3−dihydroxybenzene and quinones are conjugated cyclic diones, whereas o-cresol is 2−methylphenolwhich means that option (d) is incorrect whereas the other options are possible. Now phenol undergoes oxidation in the presence of air which is confirmed by the pink coloration in the compound. Phenol on oxidation in air gives quinone product p-benzoquinone which again reacts with the phenol to form a polymerized product diphenoquinone which is red in color. Quinones are oxidized derivatives and are readily made from reactive aromatic compounds with electron donating substituents such as phenols, catechols. The complete reaction of the oxidation of the phenol is given below:

Now this product will again react with phenol to give diphenoquinone which is red in color as shown below:

The reaction involves the formation of hydrogen bonds which are one of the strongest bonds in the system. The other options are derivatives of phenols and are not actually oxidation products of phenol.
So, our correct answer is (a).
Note:
Sometimes in questions for some compounds the common names are more used than their IUPAC names, so the common names of major compounds should be known, so that there is no confusion while drawing the structures of the compound.
