Question
Question: Number of identical \(Cr - O\) bonds in dichromate ion \(C{r_2}{O_7}^{2 - }\) is : (A) \(4\) (B)...
Number of identical Cr−O bonds in dichromate ion Cr2O72− is :
(A) 4
(B) 6
(C) 7
(D) 8
Solution
In order to answer this question, you must recall the concept of chemical bonding and structures of ions and you must keep in mind the points of resonance and oxidation state also then only you will reach the correct answer. Firstly, try to draw the structure of the compound by taking care of the oxidation states of each element. And then observe the number of equivalent Cr−O bonds by using the concept of resonance.
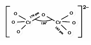
Complete step-by-step answer: Step 1: In this step we will figure out the number of Cr−O bonds present in the structure of Cr2O72− .
Draw the structure or refer to the figure given below, and you will observe that there are 6 Cr−O present in that:

Step 2: In this step, by using the concept of resonance we will determine the equivalent Cr−O bonds that are present.
Clearly, there are 6 terminal Cr−O bonds. All these bonds are equivalent due to resonance.
Step 3: We know that the dichromate ions Cr2O72− are oxoanions of chromium in the oxidation state +6.
Hence, we can conclude that there are 6 equivalent Cr−O bonds are present.
Therefore, the correct answer is option B.
Note: Dichromate is a divalent inorganic anion obtained by removal of both protons from dichromic acid. It is a chromium oxoanion and a divalent inorganic anion. It is a conjugate base of a hydrogen dichromate. Resonance is a way of describing delocalized electrons within certain molecules or polyatomic ions where the bonding cannot be expressed by a single Lewis formula. A molecule or ion with such delocalized electrons is represented by several resonance structures.
