Question
Question: Name two reagents used for acylation of benzene....
Name two reagents used for acylation of benzene.
Solution
Acylation is the substitution of an acyl group into an organic compound. In case of benzene, the acyl group is substituted into the benzene ring. This reaction is also known as Friedel-Crafts acylation of Benzene.
Complete step by step answer:
Acylation involves the substitution of an acyl group into an organic compound. The acyl group is an alkyl group that possesses a carbon-oxygen double bond. The general formula of an acyl group is RCO− where R is an alkyl group. CH3CO− is the most commonly used acyl group. It is also known as ethanoyl group. In the acylation of benzene, CH3CO− is getting substituted into the ring.

CH3COCl is the most reactive substance that contains an acyl group. It is commonly known as acyl chloride or acid chloride.
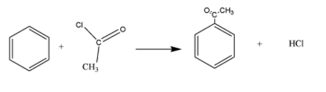
Benzene ring is reacted with a mixture of ethanoyl chloride CH3COCl and AlCl3 (aluminium chloride) that acts as a catalyst. The product formed is a ketone called phenylethanone.
The reaction is as follows:
C6H6+CH3COCl→C6H5COCl+HCl
Or

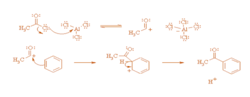
This reaction is an example of an electrophilic substitution reaction. The electrophile is CH3CO+ that is produced by the reaction of ethanoyl chloride and aluminium chloride.
The reaction is as follows:
CH3COCl+AlCl3→CH3CO++AlCl4−
The electrophilic substitution mechanism is:

Hence, the two reagents used in the acylation of benzene is ethanoyl chloride CH3COCl and aluminium chloride AlCl3
Note: A student can get confused between acylation and alkylation. Alkylation is the transfer of an alkyl group from one compound to another. A student can also get confused between electrophilic substitution and nucleophilic substitution. Electrophilic substitution involves the displacement of a functional group by an electrophile, i.e., hydrogen whereas nucleophilic substitution involves the attack of a positively charged atom by a nucleophile.
