Question
Question: \( Na{H_2}P{O_4} \) and \( NaHP{O_3} \) are acid salts. (A) True (B) False...
NaH2PO4 and NaHPO3 are acid salts.
(A) True
(B) False
Solution
We know that NaH2PO4 and NaHPO3 are the oxoacids (also known as oxyacid) of Phosphorous. Oxoacids are those acids that contain oxygen bonded with hydrogen and one more metal. If these oxoacids will contain more than one acidic hydrogen atom, then only the salt will be an acidic salt whereas if the compound will contain only one acidic hydrogen, the compound will then be called normal or neutral salts.
Complete step by step solution:
First let us see what an acid salt is:
Acid salt: An acid is the one which forms an acidic solution when it is dissolved in water. It is formed by partial or incomplete neutralization of acid by a base. An acid salt should contain at least two replaceable hydrogen ions. Let us have a look on NaH2PO4 and NaHPO3 one by one:
NaH2PO4: NaH2PO4 is actually formed when phosphoric acid reacts with sodium hydroxide react in the molar ratio of 1:1 as shown in the reaction below:
NaOH+H3PO4→NaH2PO4+H2O
Now let’s have a look on the structure of NaH2PO4

NaH2PO4 is an acid salt because it contains two more replaceable hydrogen atoms (two OH bonds) as clearly depicted from its structure.
NaHPO3 : NaHPO3 is actually formed when H2PO3 reacts with NaOH in the molar ratio of 1:1 as shown in the reaction below:
NaOH+H2PO3→NaHPO3+H2O
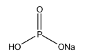
Now let’s have a look on the structure of NaHPO3

Here we see that NaHPO3 contains one replaceable H+ ions as one OH bond is present so it is also considered as an acid salt.
Therefore NaH2PO4 and NaHPO3 are acid salts.
So, the correct option will be Option A i.e. True.
Note:
pH of acid salts is less than 7 while pH of the neutral or normal salts usually ranges from 5−7 . Neutral salts are the salts which do not show any acidic or basic nature. If the acid will contain oxygen which are also called as oxoacids then we generally use −ous and −ic in the suffix. Few other examples in this category include Hypophosphorous acid or phosphonic acid.
