Question
Question: Major product X for the following reaction is: 
A. 
B. 
C. 
D. 
Solution
Given aldehydes do not contain α hydrogen atoms. Aldehyde which does not contain any α hydrogen atom when treated with concentrated NaOH undergoes Cannizzaro reaction. Which further reaction with acid undergoes dehydration reaction.
Complete step by step answer:
We have to determine the product of the following reaction.

Given aldehyde undergo Cannizzaro reaction as it does not contain α hydrogen atom. The Cannizzaro reaction aldehyde which does not contain any α hydrogen atom when treated with concentrated NaOH undergoes simultaneous oxidation and reduction forming a carboxylic acid and alcohol.
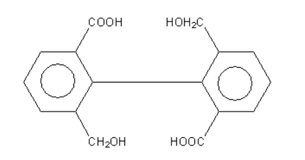
Step 1: Given aldehyde have two rings with two aldehyde groups on each ring. After treating with NaOH one aldehyde group on each ring gets oxidized to carboxylic acid while another aldehyde group on each ring gets reduced to alcohol.

Step 2: Alcohol and carboxylic acid in presence of strong acid undergoes dehydration reaction and gives ester as the product. Here hydrogen of carboxylic acid and the hydroxyl group of alcohol produce water.

Hence, the correct option is (D).
The compound given in option A is the intermediate product of this reaction so option (A) is incorrect.
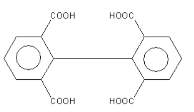
Compound given in option B has shown all four aldehyde groups are converted to the carboxylic acid group so option (B) is incorrect.
In option C it is shown that three aldehyde groups are converted to alcohol and one aldehyde group is converted to acid so option (C) is incorrect.
Note:
In Cannizzaro's reaction carboxylic acid and alcohol are the products. However in this case since carboxylic acid and alcohol are present on the adjacent ring so they react with each other in presence of strong acid and give ester as the product. Only formaldehyde and benzaldehyde which do not contain α hydrogen atoms undergo the Cannizzaro reaction.
