Question
Question: In the following structure, the double bonds are marked as I, II, III and IV. Geometrical isomerism ...
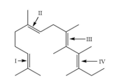
In the following structure, the double bonds are marked as I, II, III and IV. Geometrical isomerism is not possible at site (S):

A. III and IV
B. I and III
C. III
D. I
Solution
We know that isomers are described as the molecules which have the same molecular formula but different arrangement of atoms bonded to each other, they also have different chemical properties. The geometrical isomers are the isomers which have a double bond and the functional group attached to the both carbons bonded to each other via double bond have different functional groups.
Complete answer
Isomers are divided in the two branches: constitutional isomer and stereoisomer.
1. Stereoisomers are of two types: geometrical isomer and optical isomer.
2. Optical isomers are non-super impossible mirror images of the same molecule.
Functional groups should be attached to the one carbon out of the two carbon which are double bonded with each other and cannot be rotated as shown in the figure below. The carbon numbers two and three have the same functional group but the group attached to the carbon two are different, one is hydrogen and other is methyl. The methyl group should not be present on the same carbon or hydrogen should not be attached to the same carbon otherwise it will not remain the geometrical isomer.

These are geometrical isomers of but-2-ene: cis-but-2-ene same groups are present on the same side of the double bonded carbon and trans- but-2-ene functional group attached to the double bonded carbon are present in different planes i.e. above and below the plane diagonally.
The site (I) contains two identical CH3 groups attached to a double bond. This site will not show geometrical isomerism as they are present on the same carbon.
**Hence, the answer is option (D) that is I.
Note: **
Read the question carefully what it is asked. The question is which is “not” the geometrical isomer, so that the elimination of the options becomes easy.
