Question
Question: In the diagrams given below, the horizontal line represents the path of a ball coming from left and ...
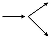
In the diagrams given below, the horizontal line represents the path of a ball coming from left and hitting another ball which is initially at rest. The other lines represent the path of the two balls after the collision. Which of the diagrams shows a physically impossible situation?
A)

B)

C)

D)

Solution
Here, we have to apply the law of conservation of momentum. In the subject of Physics, there are several quantities that are conserved.
Conserved quantity is a function of the dependent variables in a dynamically changing system whose value remains equal along the entire phase and the path that the system undergoes. Examples of the conserved quantities are mass, charge, energy, and momentum.
Complete step by step answer:
The momentum is defined as the product of mass and the velocity of the body.
Momentum, p=mv
where m = mass and v = velocity.
However, this is only the mathematical definition. The momentum of a body represents the effect or impact that it possesses by the virtue of its mass and the velocity at which it is moving. We can understand that momentum represents the consequence of the body moving.
Since, we have seen that the quantity momentum is conserved here, let us understand the law of conservation of momentum.
It states that, In the collision of two elastic bodies, the total momentum of the system before the collision is equal to the total momentum after the collision after the collision has happened.
Consider 2 bodies – object 1 and object 2 of masses m1and m2 respectively, moving towards each other at initial velocity of v1&v2 respectively and collide. After collision, their new masses are M1&M2 and their new velocities are V1&V2.
Initial momentum, p=m1v1+m2v2
Final momentum after collision, P=M1V1+M2V2
As per the conservation of momentum,
p=P
⇒m1v1+m2v2=M1V1+M2V2
In the question, the second object that is collided with, is at rest initially. This means that, v2=0
So, we have the equation as –
m1v1=M1V1+M2V2
This equation implies that the initial momentum gets divided into two parts after the collision, namely,
⇒p=p1+p2
In all the four options, the values of p, p1 and p2 are entirely different except Option C, where –
⇒p=p1
If we substitute that in the answer, we obtain the result,
⇒p2=0
This is impossible since the other portion of the momentum p2 exists and is a finite positive number.
Therefore, it is impossible for any portion of the body to maintain its original momentum or velocity after the collision. There is a change in direction in velocity in both of the portions when collision happens.
Hence, the correct option is Option C.
Note: In this problem, we have assumed the case of elastic collision. Elastic collision is the type of collision where the total energy of the system before the collision remains the same after the collision. However, it is not practical in real life to have elastic collisions. There is always loss of energy in the system due to collisions which come out in the form of sound, heat, light and so on. This is why, one of the most major consequences of a collision is the loud sound that it produces.
