Question
Question: In Friedel-Crafts reaction, the electrophilic reagent is: (A) \( AlC{{l}_{3}} \) (B) \( RC{{O}^...
In Friedel-Crafts reaction, the electrophilic reagent is:
(A) AlCl3
(B) RCO+
(C) RC+OCl
(D) None of these.
Solution
Hint : Acylation is the substitution of an acyl group into an organic compound. In case of benzene, the acyl group is substituted into the benzene ring. This reaction is also known as Friedel-Crafts acylation of Benzene.
Complete Step By Step Answer:
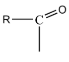
Acylation involves the substitution of an acyl group into an organic compound. The acyl group is an alkyl group that possesses a carbon-oxygen double bond. The general formula of an acyl group is RCO− where R is an alkyl group. CH3CO− is the most commonly used acyl group. It is also known as ethanoyl group. In the acylation of benzene, CH3CO− is getting substituted into the ring.

Here we will take an example to understand it; 
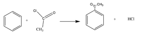
CH3COCl is the most reactive substance that contains an acyl group. It is commonly known as acyl chloride or acid chloride. Benzene ring is reacted with a mixture of ethanoyl chloride (CH3COCl) and aluminium chloride (AlCl3) that acts as a catalyst. The product formed is a ketone called phenylethanone.
This reaction is an example of an electrophilic substitution reaction. The electrophile is CH3CO+(RCO+) that is produced by the reaction of ethanoyl chloride and aluminium chloride.
Therefore, the correct answer is option B.
Note :
A student can get confused between acylation and alkylation. Alkylation is the transfer of an alkyl group from one compound to another. A student can also get confused between electrophilic substitution and nucleophilic substitution. Electrophilic substitution involves the displacement of a functional group by an electrophile, i.e., hydrogen whereas nucleophilic substitution involves the attack of a positively charged atom by a nucleophile.
