Question
Question: If the normal at \(\left( c{{t}_{1}},\dfrac{c}{{{t}_{1}}} \right)\) on the hyperbola \(xy={{c}^{2}}\...
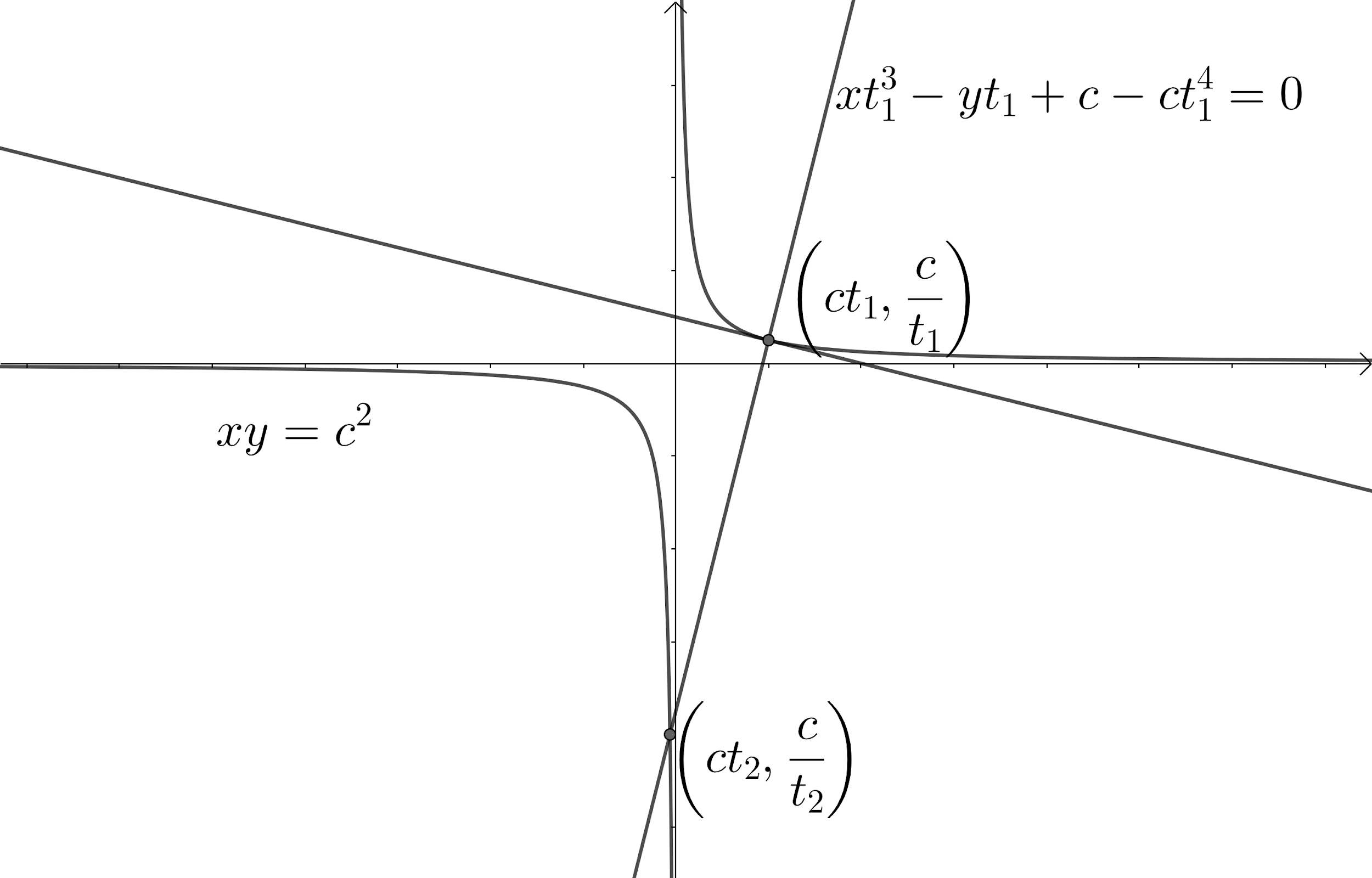
If the normal at (ct1,t1c) on the hyperbola xy=c2 cuts the hyperbola again at (ct2,t2c), then t13t2=
(a) 2
(b) –2
(c) –1
(d) 1
Solution
We start solving the problem by finding the slope of the tangent using the fact that slope of the tangent at point (x1,y1) is defined as dxdy(x1,y1). We then find the slope of the normal using the facts that the tangent and normal of a conic are perpendicular to each other and the product of slopes of perpendicular lines is –1. We then find the equation of the normal using the given slope and point (ct1,t1c) and then we substitute the point (ct2,t2c) in the equations and make necessary calculations to get the required value.
Complete step by step answer:
According to the problem, we are given that the normal at (ct1,t1c) on the hyperbola xy=c2 cuts the hyperbola again at (ct2,t2c). We need to find the value of t13t2.

Let us first find the slope of the tangent at the point (ct1,t1c). We know that the slope of the tangent at point (x1,y1) is defined as dxdy(x1,y1).
Let us differentiate both sides of xy=c2 with respect to ‘x’.
So, we have dxd(xy)=dxd(c2).
We know that dxd(uv)=udxdv+vdxdu and differentiation of a constant is zero.
⇒xdxdy+ydxdx=0.
We know that dxdx=1.
⇒xdxdy+y=0.
⇒dxdy=x−y.
Let us find the slope of tangent at the point (ct1,t1c).
⇒dxdy(ct1,t1c)=ct1−t1c.
⇒dxdy(ct1,t1c)=−t121.
We know that the tangent and normal of a conic are perpendicular to each other. We know that the product of slopes of tangent and normal is –1. Let us assume the slope of normal be m.
So, we get t12−1×m=−1.
⇒m=t12.
Now, let us find the equation of the normal.
We know that the equation of the line passing through the point (x1,y1) having slope m is y−y1=m(x−x1).
So, the equation of the normal is y−t1c=t12(x−ct1).
⇒t1yt1−c=xt12−ct13.
⇒yt1−c=xt13−ct14.
=xt13−yt1+c−ct14=0.
Now, this line passes through the point (ct2,t2c).
So, we get ct2t13−t2c×t1+c−ct14=0.
⇒ct22t13−ct1+ct2−ct2t14=0.
⇒t22t13−t2t14+t2−t1=0.
⇒t2t13(t2−t1)+1(t2−t1)=0.
⇒(t2t13+1)(t2−t1)=0.
⇒t2t13+1=0 or t2−t1=0.
We know that t2=t1, as the given points are distinct. So, t2−t1=0.
⇒t2t13=−1.
So, we have found the value of t2t13 as –1.
So, the correct answer is “Option C”.
Note: We can see that the given problem involves a heavy amount of calculations, so we need to perform every step carefully in order to avoid confusion and calculation mistakes. We should know that the two given points are not identical which is very important to remember while solving this problem. We should not randomly assume the values for t1 and t2 as this will not satisfy our requirements. Similarly, we can expect problems involving tangents.
