Question
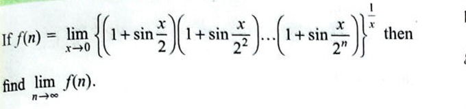
Question: If $f(n) = \lim_{x \to 0} \left\{ \left(1 + \sin \frac{x}{2} \right) \left(1 + \sin \frac{x}{2^2} \r...
If f(n)=limx→0{(1+sin2x)(1+sin22x)...(1+sin2nx)}x1 then find limn→∞f(n).

A
e
B
1
C
0
D
infinity
Answer
e
Explanation
Solution
The limit f(n) is evaluated by converting the 1∞ indeterminate form to an exponential form elimx→0xln(product). The logarithm of the product is expressed as a sum. Using Taylor series expansions for sinu and ln(1+u) for small u, we find that limx→0xln(1+sin(x/2k))=2k1. Summing these terms from k=1 to n gives a geometric series, whose sum is 1−(1/2)n. Thus, f(n)=e1−(1/2)n. Finally, taking the limit as n→∞, since (1/2)n→0, the limit becomes e1=e.
