Question
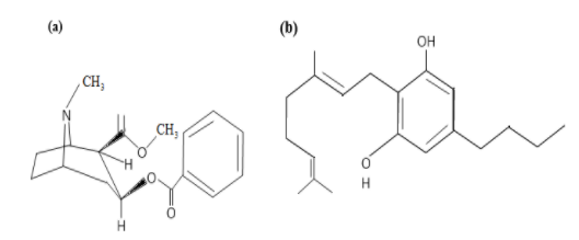
Question: Identify the molecules (a) and (b) shown and select the right option giving their source and use. ...
Identify the molecules (a) and (b) shown and select the right option giving their source and use.

A) (b) Molecule - Heroin; Source – Cannabis sativa; Use – Depressant and slows down body functions
B) (b) Molecule - Dopamine; Source – Atropa Belladonna; Use – Produces hallucinations
C) (a) Molecule - Morphin; Source – Papaver Somniferum; Use – Sedative and painkiller
D) (a) Molecule - Cocaine; Source – Erythroxylum coca; Use – Accelerates the transport of dopamine
Solution
This drug is normally snorted, inhaled or dissolved in a vein through injection. Some drugs cause intense feelings of pleasure, contact with reality loss or restlessness can have mental impacts.
Complete answer:
A drug is any substance that induces a difference in the physiology or psychology of the body when ingested. Drugs are usually separated from foods and substances that offer dietary assistance. In general, addictive medications may be categorized as stimulants, depressants, hallucinogens or opioids. These four drug classifications distinguish drugs through how they communicate with the brain and affect the thinking and actions of an individual.
Pure heroin is a white powder which has a bitter taste. Heroin, a highly addictive pharmaceutical substance, is derived from opium poppy (papaver somniferum), morphine-alkaloid and about 2-3 times stronger than morphine. Injecting, smoking or snorting up the nose is normal. It has euphoric qualities, anti-anxiety and relieving discomfort.
Dopamine is a pharmaceutical drug used to relieve effects of slow heart rhythm, slow blood pressure, and blood supply to the kidney. Together or with other drugs, dopamine can be used.
Morphine is the opiate family pain reliever and is commonly present in a variety of plants and animals including humans. It works specifically to reduce the sense of discomfort in the central nervous system.
A mast cell is a connective tissue migrant cell that comprises several granules rich in heparin and histamine. Specifically, it is a form of granulocyte originated from myeloid stem cells that is a part of the neuroimmune and immune systems.
Cocaine is a highly addictive stimulant substance derived from South American coca plant leaves. Cocaine acts by stopping serotonin, norepinephrine and dopamine from healing. This results in elevated levels of these three brain neurotransmitters.
Thus, the correct answer is option D. i.e., (a) Molecule - Cocaine; Source – Erythroxylum coca; Use – Accelerates the transport of dopamine.
Note: Cocaine raises the concentration of natural chemical dopamine transporters in brain pathways connected to movement regulation. Dopamine usually returns to a released cell and slows down the signal between nerve cells. Cocaine stops the recycling of dopamine, which reduces the natural contact between two cells and allows vast concentrations to build within two nerve cells.
