Question
Question: Identify D. 1,2-diols are oxidized to ketones or aldehydes by periodic acid \(HI{{O}_{4}}\). Perio...
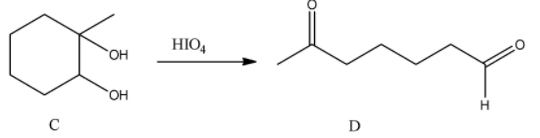
Identify D.
1,2-diols are oxidized to ketones or aldehydes by periodic acid HIO4. Periodic acid reacts with diol to form a cyclic intermediate. The reaction takes place because iodine is in a highly positive oxidation state, so it readily accepts electrons. When the intermediate breaks down, the bond between the two carbons bonded to the –OH groups break.

Solution
Acyclic 1,2-doilos reacts with periodic acid (an oxidizing agent) and generally produces a ketone and an aldehyde compound as the products. Periodic acid is a good oxidizing agent and reacts with compounds having 1-2-diols in their structures.
Complete step by step solution:
- In the question it is given that 1,2-diols are oxidized to ketones or aldehydes by periodic acid.
- But as per the question we can say that the product C in the question will be a diol and it produces ketone or aldehydes as the product and we have to identify what C forms on reaction with periodic acid.
- The given chemical reaction is as follows.

- First we have to identify A, B and C products in the above reaction.
- Reaction of methyl cyclohexane with bromine in sunlight is as follows.

- Methyl cyclohexane reacts with bromine in presence of sunlight and produces 1-bromo, 1-methyl cyclohexane as the product.
- The product A reacts with alcoholic KOH and it is as follows.

- 1-bromo, 1-methyl cyclohexane undergoes dehydrohalogenation in presence of alcoholic KOH and produces 1-methyl cyclohexene (B).
- 1-methyl cyclohexene (B) reacts with osmium tetroxide.

- Compound B reacts with osmium tetroxide and forms a 1,2-diol compound (C) as the product.
- Now compound C (1,2-diol) reacts with periodic acid.

- Compound C reacts with periodic acid and produces a single product containing aldehyde functional group and ketone functional group in it.
Note: Aliphatic 1,2-doil compounds give more than one product (aldehydes and ketones) on reaction with periodic acid. But cyclic compounds give only one product having aldehyde and ketone functional groups in it.
