Question
Question: How will you convert: (i) Propene to Propan-2-ol? (ii) Phenol to 2,4,6- trinitrophenol?...
How will you convert:
(i) Propene to Propan-2-ol?
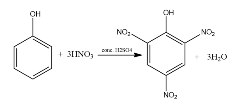
(ii) Phenol to 2,4,6- trinitrophenol?
Solution
Recall the rules of addition reactions of unsymmetrical alkenes. 2,4,6- trinitrophenol is also known as Picric acid which is a carbon-nitro compound comprising phenol having three substituents at 2,4 and 6 positions.
Complete step by step answer:
-(i) To begin the conversions, we must recall the concept of Markovnikov’s rule. Markovnikov’s rule tells us that in an asymmetrical alkene where to add the nucleophile and hydrogen through an addition reaction. The rule says that the nucleophile will add to the more substituted carbon, leaving the hydrogen to add on the less substituted carbon.
-Applying Markovnikov’s rule for the addition of sulphuric acid to Propene giving Propan-2-ol.
CH3CH=CH2+H2SO4boiling H2OCH3−CH2OH−CH3
-(ii) Addition of concentrated Nitric acid to Phenol gets us 2,4,6-trinitrophenol or Picric acid. The electrophile nitronium ion substituted the hydrogen from all the ortho and para positions of the phenol.

Additional Information:
By remembering the phrase, ‘The rich get richer’, we can recall Markovnikov's reaction. In an alkene addition, the hydrogen will add to the carbon which is less substituted and so that the nucleophile can attack the carbon with more substituents.
While conducting a reaction for the production of picric acid, we must first perform sulphonation as it is extremely exothermic. The direct addition of even dilute nitric acid to phenol is very vigorous and dangerous. Picric acid is widely used for the production of explosives like TNT and Dunnite (Explosive-D).
Note: It is very important to learn the mechanism of Markovnikov’s rule because the addition of nucleophiles depends on the formation of most stable intermediates. There are some reactions also, where no addition of hydrogen takes place.
