Question
Question: How to draw all stereoisomers of \(2 - \)bromo\( - 4 - \)methylpentane\(?\)...
How to draw all stereoisomers of 2−bromo−4−methylpentane?
Solution
Stereoisomers are the type of isomers which differ in the three-dimensional orientations of their atoms in space but have the same molecular formula and the sequence of the bonded atoms. First draw chain structure of the given compound. Then find out all the chiral carbons present in the given compound. Check the number of right and left handed isomers that can be generated for the given structure.
Complete step-by-step answer:
Stereoisomers are the type of isomers which differ in the three-dimensional orientations of their atoms in space but have the same molecular formula and the sequence of the bonded atoms. It can be of two types- enantiomers and diastereomers.
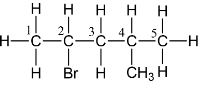
The compound given in the question is 2−bromo−4−methylpentane which can be represented as:

The structure can also be represented as:

A chiral carbon atom is that carbon atom that is attached to four different types of atoms or groups of atoms. Hence from the structure we can say that only C2 is the chiral carbon present in the compound. Since there is only one chiral carbon present in the compound hence only two stereoisomers are possible for this structure. The two stereoisomers can be represented using wedge dash structure. In one wedge dash structure Br will be present on wedge and H on dash while in another structure Br will be present on dash and H on wedge. The two stereoisomers are:

Comparing the two structures we can see that they are mirror images of each other. Since they are non-superimposable mirror images they are known as enantiomers and hence are a type of stereoisomers.
Note: The total number of stereoisomers of a given compound can also be calculated using 2n, where n is the number of chiral centers present in the given compound. The given compound has one chiral center. Using the formula we get that the given compound has 21=2 stereoisomers.
