Question
Question: How primary amine is prepared by Hoffmann bromamide degradation reaction? Write the equation....
How primary amine is prepared by Hoffmann bromamide degradation reaction? Write the equation.
Solution
The primary amine is made from a compound that contains nitrogen with the carbonyl group. This reaction is used to make one carbon less than the original reactant taken. This reaction can be used in both aliphatic and aromatic compounds.
Complete step by step answer:
Hoffmann bromamide reaction: when a primary amide is treated with an aqueous or ethanolic solution of potassium hydroxide and bromine ( or potassium hypobromite,), it gives a primary amine which has one carbon less than the original amide.
The general reaction can be written as:
R−CONH2+Br2+4KOH→R−NH2+K2CO3+2KBr+2H2O
Let us take an example: for preparing ethylamine from propionamide:
CH3CH2CONH2+Br2+4KOH→CH3CH2NH2+K2CO3+2KBr+2H2O
This was an example of the aliphatic chain.
The same product can be obtained with an aromatic compound also:
C6H5CONH2+Br2+4KOH→C6H5NH2+K2CO3+2KBr+2H2O
In this reaction, Aniline is prepared from Benzamide.
This reaction is widely used for stepping down or descent of homologous series.
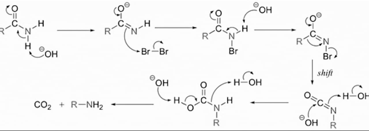
Mechanism: Hoffmann bromamide reaction is believed to occur by the following mechanism through the formation of an intermediate acylnitrene(II).

The formation of isocyanate as an intermediate in the above reaction is supported by the observation that when the reaction is carried out with methanolic CH3ONa instead of aqueous NaOH, a methyl carbonate or urethane is obtained instead of the amine.
For example,
CH3CONH2 → CH3NH2 (catalyst is bromine and sodium hydroxide)
CH3CONH2 → CH3NH−CO−OCH3 (catalyst is methanolic and methanol)
CH3NH−CO−OCH3 is a urethane.
Note: This is the type of reaction in which the product has one carbon less than reactant, so while writing this reaction it should be taken care of. The catalyst should also be taken care of because different catalysts would yield different products.
