Question
Question: How many structural formulas are possible when one of the hydrogen is replaced by a chlorine atom in...
How many structural formulas are possible when one of the hydrogen is replaced by a chlorine atom in anthracene?
(A) 3
(B) 7
(C) 4
(D) 6
Solution
Hint : Structural isomers have the same molecular formulas but they have different structures. All the structural isomers have the same number of atoms. But the structural arrangement is different. To solve this question, number all the carbon atoms. This will help us in finding equivalent positions.
Complete Step By Step Answer:
The structure of anthracene is given below:

Here, we gave numbers so that no isomers will be repeated.

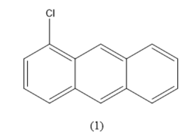
Check the possible places from where we can remove hydrogen atoms. Here, the positions 1,4,5,8 are equal. It means that if hydrogen is replaced in any of these positions, the resulting compounds will have the same IUPAC name. That means they are similar compounds. So, consider all the four positions equivalent. When one hydrogen atom is replaced by a chlorine atom in this position, the compound formed is given below.

Similarly, the positions 2,3,6,7 are equal. Consider all these four positions as equivalent. When one hydrogen atom is replaced by a chlorine atom in this position, the compound formed is given below.

Positions 9,10 are equal. Consider these two positions as equivalent. When one hydrogen atom is replaced by a chlorine atom in this position, the compound formed is given below.

There are three different positions of hydrogen. Hence, three structural isomers are possible.
Therefore, option A is the correct answer.
Note :
Remember that we should count all the possible equivalent positions as one position. Because replacing a hydrogen atom by a chlorine atom in all these positions, gives us the same compound. To identify the same compounds, write the IUPAC names and eliminate compounds having the same IUPAC names.
