Question
Question: How many optical isomers does isoleucine have?...
How many optical isomers does isoleucine have?
Solution
In terms of molecular weight as well as chemical and physical properties, optical isomerism is a case where the isomers display identical characteristics. They differ in their impact on the rotation of polarized light, however. C6H13NO2 is the chemical formula of isoleucine.
Formula Used
We will use the following expression to find the number of optical isomers
2n
Where, n is the number of chiral centres of the chemical compound.
Complete Step-by-Step Solution
Optical isomerism mainly occurs in substances with the same structural and molecular formula, but cannot be superimposed on each other. We can say, in simple words, that they are mirror images of one another. Alternatively, it can also be found in substances that have an asymmetric carbon atom.
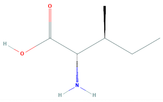
The IUPAC name for isoleucine is 2− amino 3− methylpentanoic acid.
C6H13NO2 is the chemical formula of isoleucine. It has a molecular weight of 131.17g/mol .
Let us draw the structure of isoleucine and observe its various properties.

We can observe that there are a total of two chiral centres in isoleucine at the second and third carbon atoms.
Since, there are two chiral centres, we will use our formula to find out the number of optical isomers.
That is
2n
Let us substitute the number of chiral centres in the above formula to get our result
22=4
Hence, there are a total of 4 optical isomers of isoleucine.
Note
The first step is to find the chiral centres of the molecule in order to come to a solution. It is possible to explain the difference between chiral and achiral molecules on the basis of the symmetry plane. If the entire group attached to the central carbon atom is different, then there is no symmetry plane. A molecule like this is known as a chiral molecule.
