Question
Question: Give the major product the following reaction? 
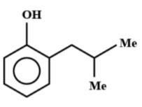
A.
B.
C.
D.None of these
Solution
The reaction given in the question is an example of Friedel-Crafts alkylation. Friedel–Crafts alkylation involves the alkylation of an aromatic ring with an alkyl halide using a strong lewis acid. Now, you should use this to reach the correct answer.
Complete answer:
To solve this question first we need to identify the type of reaction. Here we can see an aromatic ring (phenol) reacting with an alkyl halide in the presence of AlCl3, which is a lewis acid and works as a catalyst. Hence, we can categorize it under Friedel–Crafts alkylation.
It is the replacement of an aromatic proton with an alkyl group. This is done through an electrophilic attack on the aromatic ring with the help of a carbocation.
A Lewis acid catalyst such as AlCl3 is employed in this reaction to form a carbocation by facilitating the removal of the halide. The resulting carbocation undergoes a rearrangement before proceeding with the alkylation reaction.
Now, let’s move to the question. We have phenol or we can say benzene with -OH group attached to it. This -OH has two lone pairs that it will donate one to the empty orbitals of AlCl3, meaning phenol will work as a base and will form a complex salt. This salt will not undergo any further reaction.

Hence we can say that we will not get a desired Friedel-crafts alkylation product.
Therefore the correct answer to this question would be option D.
Note: If this reaction somehow makes its way through Friedel-crafts reaction, then you can think that options A and B could be major products. But, no, they aren't. This reaction in question can only make para alkylated products, that too in negligible amounts because of the steric hindrance on the ortho position. Hence, only B will be formed, but not as a major product.
