Question
Question: Give the IUPAC name for the following alcohol. Classify as primary or secondary or tertiary alcohol....
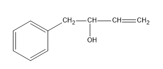
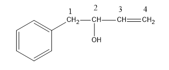
Give the IUPAC name for the following alcohol. Classify as primary or secondary or tertiary alcohol.

Solution
While naming the priority order should be remembered and here the alcohol has higher priority than alkene and phenyl ring. Also to find whether the alcohol is primary secondary or tertiary we see the carbon to which alcohol is attached and the number of carbon atoms attached to this carbon atom.
Complete Step by step answer:
In the given compound we have an alcohol, an alkene and a phenyl ring, so before writing its IUPAC name we should know the priority order of these functional groups. The alcohol has higher priority than alkene and phenyl ring or the benzene ring will be at lowest priority order here. So the maximum carbons in the alkyl chain is four so it will butane derivate and the numbering will be done in the order given below:

We have numbered from the phenyl ring because from this side alcohol will be at a lower number because of its higher priority. So, the IUPAC name will be 1−phenylbut−3−ene−2−ol.
Now we have to find out if our alcohol is primary, secondary or tertiary. For that we have to examine the carbon atom to which this alcohol group is attached which is carbon number two. The second carbon is attached to two other carbon atoms which are carbon atom one and carbon atom three. So, our given alcohol is attached to a carbon which is further attached to two carbon atoms so our alcohol will be secondary alcohol. If the carbon two would have been attached to only one carbon then it would have been primary alcohol and it would have been attached to three carbon atoms then the alcohol would have been tertiary alcohol.
Note:
To find whether an alcohol is primary , secondary or tertiary we have to look at the carbon atom to which alcohol is attached but in case of amines we have to look at the carbon atoms attached to the nitrogen atom which is an exception and should be taken care of.
