Question
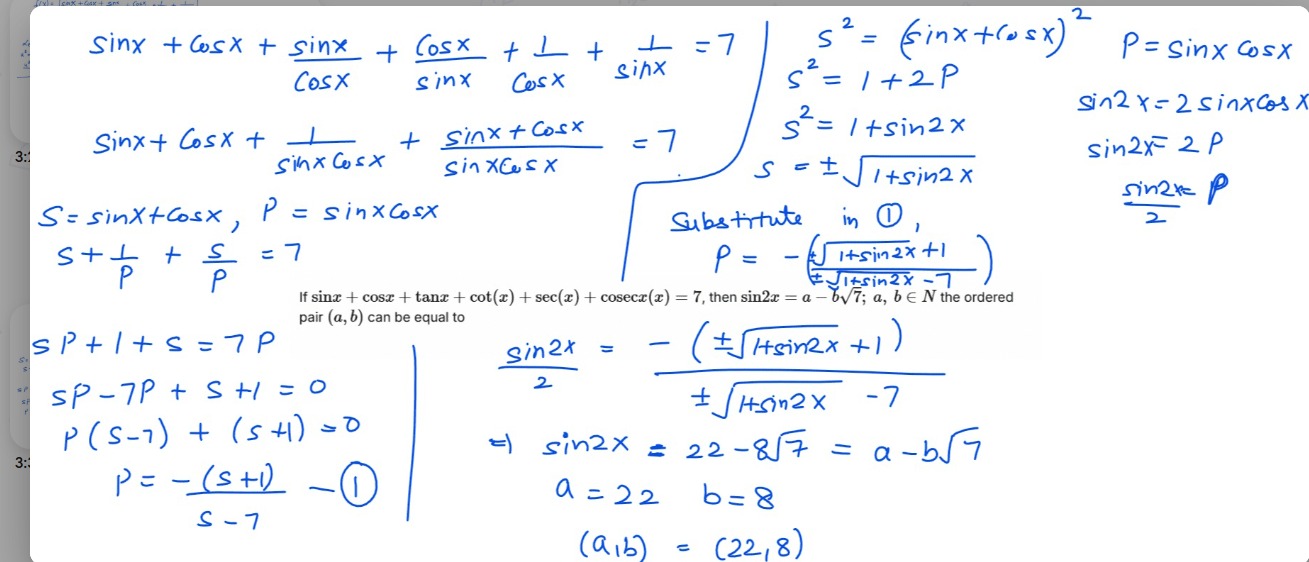
Question: If $\sin x + \cos x + \tan x + \cot x + \sec x + \csc x = 7$, then $\sin 2x = a - b \sqrt{7}; a, b \...
If sinx+cosx+tanx+cotx+secx+cscx=7, then sin2x=a−b7;a,b∈N. The ordered pair (a,b) can be equal to

A
(22,8)
B
(8,22)
C
(22,2)
D
(2,8)
Answer
(22,8)
Explanation
Solution
Let S=sinx+cosx and P=sinxcosx. The given equation simplifies to S+P1+PS=7. This leads to P=−S−7S+1. We also know S2=1+2P, so P=2S2−1. Equating the expressions for P gives 2S2−1=−S−7S+1. Since S=−1, we get 2S−1=−S−71, which simplifies to S2−8S+9=0. The solutions for S are 4±7. Since S=sinx+cosx must be in the range [−2,2], the only valid solution is S=4−7. Then sin2x=2P=S2−1=(4−7)2−1=(16−87+7)−1=23−87−1=22−87. Comparing with sin2x=a−b7, we find a=22 and b=8. Thus, (a,b)=(22,8).
