Question
Question: The image displays a chemical structure. What is the IUPAC name of this compound?...
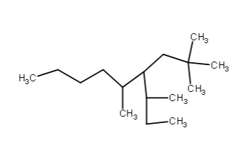
The image displays a chemical structure. What is the IUPAC name of this compound?

A
2,2,3,4-tetramethyloctane
B
5,5,6,7-tetramethyloctane
C
2,2,3,4-tetramethylheptane
D
2,3,4,5-tetramethyloctane
Answer
2,2,3,4-tetramethyloctane
Explanation
Solution
- Identify the longest carbon chain: The longest continuous carbon chain in the given structure has 8 carbon atoms. This will be the parent alkane, octane.
- Number the carbon chain: To determine the correct IUPAC name, we need to number the carbon chain. We have two possible ways to number the chain, starting from either end.
- Numbering from left to right: The substituents (methyl groups) are located at positions 5, 6, 7, and 7. This gives the locant set (5, 6, 7, 7).
- Numbering from right to left: The substituents (methyl groups) are located at positions 2, 2, 3, and 4. This gives the locant set (2, 2, 3, 4).
- Apply the lowest locant rule: According to IUPAC nomenclature, the numbering that gives the lowest set of locants is chosen. Comparing the two sets, (2, 2, 3, 4) is lower than (5, 6, 7, 7) because the first point of difference (2 vs. 5) favors the set starting with 2.
- Name the substituents and parent chain: There are four methyl substituents. The parent chain is octane.
- Assemble the name: Combining the locants and the substituent name with the parent chain name, we get 2,2,3,4-tetramethyloctane.
