Solveeit Logo

Question

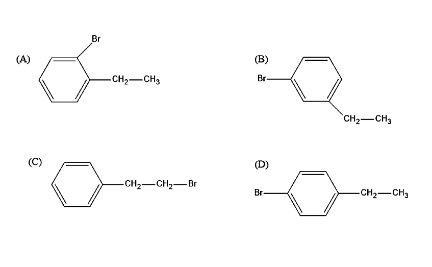
Question: Ethylbenzene with bromine in presence of \[FeB{r_3}\] predominantly gives: ![](https://www.vedantu...

Ethylbenzene with bromine in presence of FeBr3FeB{r_3} predominantly gives:

Explanation

Solution

FeBr3FeB{r_3} is a strong Lewis acid. It will catalyse the Bromination reaction of Ethylbenzene. This reaction can give three products such as ortho isomer and para isomer. From these isomers we have to find which of the isomers is the major product.

Complete Solution :
Let us see now what product will be produced when ethylbenzene reacts with the Bromine molecule in presence of FeBr3FeB{r_3}. Bromine is not a strong electrophile to react with ethylbenzene. Therefore, a strong Lewis acid such as FeBr3FeB{r_3} is added, in order to catalyse the reaction. Thus, leads to the substitution product. The Bromine molecule will donate its electron pair to FeBr3FeB{r_3}, to create more polar Br-Br bond and thus, a strong electrophile is formed. The ethyl group in ethylbenzene is an ortho-para directing group. Thus, the product formed in the reaction will be ortho-BromoEthylbenzene and para-BromoEthylbenzene.

The steric hindrance is less in para isomer therefore, it is the major product.

So, the correct answer is “Option D”.

Note: The presence of the alkyl group in benzene will make the benzene undergo EAS reaction faster than the benzene group. This will give the product of ortho and para isomers, as the alkyl group is an ortho-para directing group and is an activating group.