Question
Question: Draw canonical structures of the following: a. Anisole b. Benzaldehyde...
Draw canonical structures of the following:
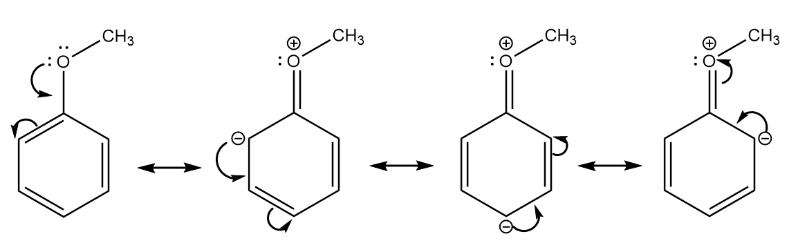
a. Anisole
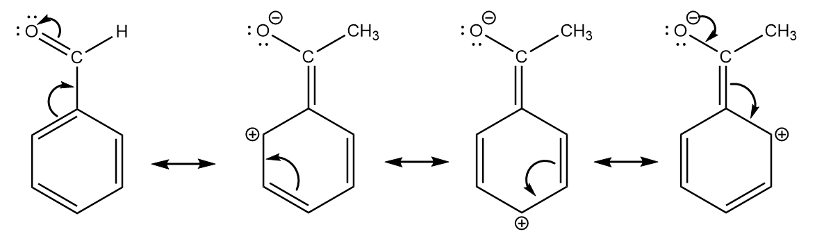
b. Benzaldehyde
Solution
In chemistry, canonical structures of a chemical compound is a method of representing the delocalized electrons within certain molecules or polyatomic ions like sulphate, phosphate ions, where the bonding cannot be completely explained in terms of a single Lewis structure.
Complete answer:
Some basic guidelines to draw resonance or canonical structures are as follows:
1. All canonical structures must be valid Lewis structures i.e., the canonical structures formed must strictly obey rules for drawing Lewis structures.
2. All structures must have the same atom connectivity and differ only in arrangement if electrons, i.e., in the different structures atoms never move but only electrons move.
3. Formal charge on the individual atom may be different but the net charge i.e., the sum of all charges for all the canonical structures must be the same.
4. Three electron transformations can take place while forming canonical structures i.e., π bond forms another π bond, π bond forms the lone pair of electrons and lone pair of electrons form a π bond.
5. Curved arrow notation is used to indicate the electron movement in each canonical structure.
Now, the canonical structures for each given compound are as follows:
a. Anisole:

b. Benzaldehyde:

Note:
It is important to note that while drawing canonical or resonance structures, sigma bonds never move and only π electrons and lone pairs of electrons can be moved from a higher electron density area to a lower electron density area. Also, remember that greater the number of resonance or canonical structures, greater is the stability of the species.
