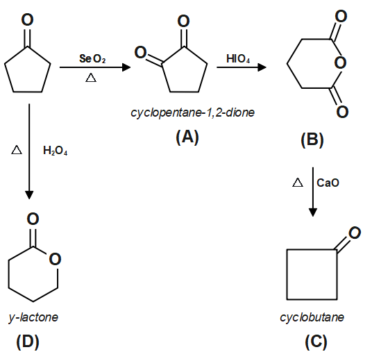
Question
Question: Determine the compound C and D respectively. 
Solution
We know that Lactones with three- or four-membered rings (α−lactones,β−lactones) are highly reactive, because of which isolation becomes difficult Unique laboratory methods are used for both small ring lactones, and for lactones that contain rings larger than six membered, for a reaction.
Complete step by step solution:
Five membered γ−lactones and Six membered δ-lactones are the most stable structure because, as in every organic cycle, five and six membered rings minimize the pressure of bond angles. At room temperature, γ-lactones, along with the presence of dilute acid, are very stable. Thus, four hydroxy acids (R−CH(OH)−(CH)−COOH) instantly undergo natural esterification and cyclization to the lactone. .β−lactones do prevail, but can only be made by unique methods. α−lactones can be detected as temporary species in mass spectrometry experiments.
By the reduction reaction, lactones get reduced to dios with the help of lithium hydride in the presence of dry ether. At first the reaction will break the ester bond of the lactone, and later it will reduce the aldehyde group (−CHO) into the alcohol group (−OH). For example, gamma lactones get reduced to the given complete reaction:

Note:
Note that when a lactone with a base is heated, it hydrolyzes the lactones into its parent compound, a straight-chained bifunctional compound. The hydrolysis-condensation reaction of lactones is reversible, just like the ester reaction. After hydrolysis, lactones offer only a single product.
