Question
Question: Consider all possible isomeric ketones, including stereoisomers, of MW = 100. All these isomers are ...
Consider all possible isomeric ketones, including stereoisomers, of MW = 100. All these isomers are independently reacted with NaBH4 (NOTE: stereoisomers are also reacted separately). The total number of ketones that give a racemic product(s) is/are:
Solution
The general molecular formula of ketone containing ’n’ carbon atom is given as, CnH2nO .The molecular weight is equal to the sum of the product of the atomic mass of element and number of an atom in the compound. The isomers are the structure having the same molecular formula but the difference in the position of the functional group. This is drawn in such a way that they fully fill the molecular formula of the compound. The NaBH4 is a hydride rich complex.it reduces the carbonyl group to the alcohol and generates stereocenters.
Complete step by step solution:
We will solve this question in parts.
A) Determination of the ketone compound:
We have given a ketone compound with a molecular weight equal to 100. The general molecular formula of ketone containing ’n’ carbon atom is given as, CnH2nO .
Let's find out the value of the number of carbon atom ‘n’.Here, the molecular weight would be equal to,
n× 12 + 2n × 1 + 16 =100⇒n = 14100−16=1484 = 6
Thus the ketone compound contains 6 carbon atoms and the molecular formula is C6H12O .
B) Determination of all possible isomer of C6H12O :
Here, we will found out all possible isomer of the C6H12O molecular formula. Isomer is a molecule that has the same molecular formula but the difference in the attachment of atoms. Thus to find the possible isomers arranged the six-carbon, twelve hydrogens, and one carbonyl oxygen in various forms. These are as tabulated as follows,

There are a total of 6 structural isomers for the C6H12O formula.
C) Reaction with NaBH4 :
Aldehyde or ketone on catalytic reduction in presence of Ni , Pt , Pd or chemically by complex metal hydrides such as sodium borohydride NaBH4 gives alcohol. Ketones on the reduction with NaBH4 giving secondary alcohols.
The general reaction of the carbonyl NaBH4 is as follows,
−∣C∣=O NaBH4 H−∣C∣−OH
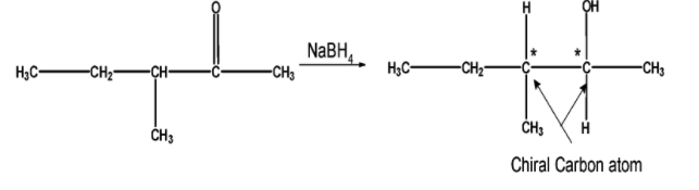
Here, the above-obtained isomer reacts with the NaBH4 . The reaction results in the reduction of the carbonyl group into the alcohol. The reaction may generate a chiral or stereogenic centre at the carbon atom. If a compound has a chiral carbon atom, then it exhibits optical activity. Let's consider an example of one of the isomers from the given table,

Likewise, out of six isomer five isomers on reduction forms the chiral carbon atom, this further leads to the R and S configuration at the stereogenic center.There is an equal possibility for the compound to exist in two enantiomeric forms (R and S).
The following isomer on the reduction gives secondary alcohol. On a closer look, the compound has two stereocenters adjacent to each other. Thus it does not form the racemic mixture.

Thus a total of five isomers form the racemic mixture on reduction.
Hence, the answer is 5.
Note: Note that, if a ketone already has a chiral centre and undergoes the reduction it will form another chiral centre in the compound. These chiral centres are adjacent to each other, compounds from the diastereomers. These stereoisomers do not have mirror relationships like enantiomers and therefore they do not form a racemic mixture.
