Question
Question: Complex X of composition \(Cr{{({{H}_{2}}O)}_{6}}C{{l}_{n}}\) has a spin only magnetic moment of 3.8...
Complex X of composition Cr(H2O)6Cln has a spin only magnetic moment of 3.83 BM. It reacts with AgNO3 and shows geometrical isomerism. The IUPAC nomenclature of X is:
A.Hexaaqua chromium(iii) chloride
B.Tetraaquadichlorido chromium (iii) dihydrate
C.Dichlorotetraaqua chromium(iv) chloride dihydrate
D.Tetraaquadichlorido chromium(iv) chloride dihydrate
Solution
First find out the number of unpaired electrons present in the compound. Then with the help of oxidation number, find the value of ‘n’. Finally use the concept of reaction with AgNO3 and find the IUPAC name.
Complete step-by-step solution:
In order to answer our question, we need to know about the IUPAC nomenclature. Coordination compounds are formulated and named according to the system set up by IUPAC. It is important for writing systematic names and formulas, particularly when dealing with isomers. Now, we have been given the compound Cr(H2))6Cln, and it’s magnetic moment is given to be 3.83 Bm. As we know that the formula for magnetic moment is n(n+2), where n is the number of unpaired electrons. On solving the equation, we have
n(n+2)=3.83
n(n+2)=15So,n=3
There are 3 unpaired electrons. Now, the electronic configuration of chromium is [Ar]4s13d5. Also it has 3 unpaired electrons. So, in the final compound chromium will have +3 oxidation state; chromium exhibits d3 configuration. Now, let us find the value of ‘n’ again, by using the oxidation number method, to verify. We have
Cr(H2O)6Cln3+0−n=0n=3
So the compound is Cr(H2O)6Cl3, However, it is the skeletal structure and we have to find out how many chlorine are attached to the compound. It is given that compounds react with AgNO3. Now, the given possibilities are:
[Cr(H2O)6]Cl3,[Cr(H2O)5]Cl2.H2O,[Cr(H2O)4Cl2]Cl.2H2Oand[Cr(H2O)3Cl3].3H2O
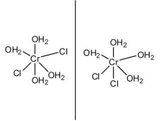
The last compound is not possible as Cl must be outside the sphere, in order to react with AgNO3. Cl has to be dissociated. As it shows geometrical isomerism, option 1 and 2 are eliminated as they do not exhibit geometrical isomerism. However, compound 3 exhibits geometrical isomerism and they look like this:

So, our final compound has the formula [Cr(H2O)4Cl2]Cl.2H2O, and it’s name is Tetraaquadichlorido chromium (iii) dihydrate.
So, we obtain our answer as option B.
NOTE: The compounds which show geometrical isomerism have two configurations, cis and trans. In cis configuration, same groups or toms are present on the same side and in trans, same groups are present on opposite sides. In the diagram, first one is trans and second one is cis.
