Question
Question: Complete the given reaction. 
(a) 
(b) 
(c) 
(d) 
Solution
Hint The given reaction is basic carboxylic acid reactions with a halide group and NaHCO3. The reaction taking place to give a specific product can be explained by knowing the basic facts of carboxylic acids and attacking the halide group on it.
Complete step by step solution:
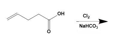
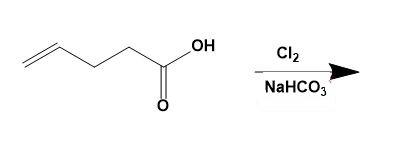
Let us directly see what the reaction gives as a product;
The given compound is 4- pentenoic acid which is then treated with Cl2 and NaHCO3 to give 5 - chloromethyl – dihydrofuran – 2 – one. This can be explained by the reaction as,


The -OH group present in the carboxylic acid acts as a good nucleophile (due to presence of 2 lone pairs of electrons on oxygen atom) and forms a bond with the carbon; already double bonded to other carbon atoms.
This gives a rise to furan ring formation which then gets stabilised by attaching -Cl and forming the required product. The mechanism can be explained as;

Therefore, option (B) is correct.
Note: Here, we came across the term as furan ring. Furan ring is an aromatic heterocyclic compound having four carbon atoms and an oxygen atom. Whereas, pyran ring is the heterocyclic compound having five carbon atoms with an oxygen atom.
