Question
Question: : Complete the following equation. \(CH \equiv CH\xrightarrow{{NaN{H_2}}}?\xrightarrow{{C{H_3}Br}}...
: Complete the following equation.
CH≡CHNaNH2?CH3Br?Hg2+/H+?H+
I2/NaOH?
Solution
When the alkyne is reacted with NaNH2 , it extracts one proton from the ethyne and the carbanion formed acts as nucleophile and attacks for an electrophilic center. The product in presence of mercuric (II) ion is oxidized and then undergoes aldol condensation. The aldol product next is reacted with the iodine in presence of sodium hydroxide which is the haloform test and one of the products is iodoform.
Complete step by step answer:
(i) When ethyne (CH≡CH ) reacts with sodium amide (NaNH2), the amide extracts one proton from ethyne to form ammonia and the carbanion of the ethyne. The reaction is as follows:
CH≡CHNaNH2CH≡C−+NH3
(ii) The carbanion formed acts as a nucleophile and attacks the electrophilic center of the methyl bromide to produce 1-propyne as the major product. The reaction is as follows:
CH≡C−CH3BrCH≡C−CH3+Br−
(iii) The 1-propyne formed in the reaction undergoes oxidation reaction in the presence of acidified mercuric (II) ion solution to give acetone in the product. The reaction is as follows:
CH≡C−CH3Hg2+/H+ CH3−C(=O)−CH3
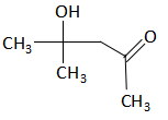
(iv) Acetone when reacts with an acidified solution rich in proton, aldol condensation of the reactant takes place. The reaction is as follows:
2CH3−C(=O)−CH3H+(CH3)2C(OH)−CH2−C(=O)−CH3
(v) The aldol product formed in the above reaction undergoes the iodoform reaction with iodine in the presence of sodium hydroxide, it gives iodoform.
(CH3)2C(OH)−CH2−C(=O)−CH3I2/NaOH(CH3)2C(OH)−CH2−COO−+CHI3
Thus, the overall complete equation is as follows:

Note: Iodoform test is used to check the presence of carbonyl compounds with the structure R−CO−CH3 or alcohols with the structure R−CH(OH)−CH3 in a given unknown substance. The reaction of iodine, a base and a methyl ketone gives a yellow precipitate along with an antiseptic smell.
