Question
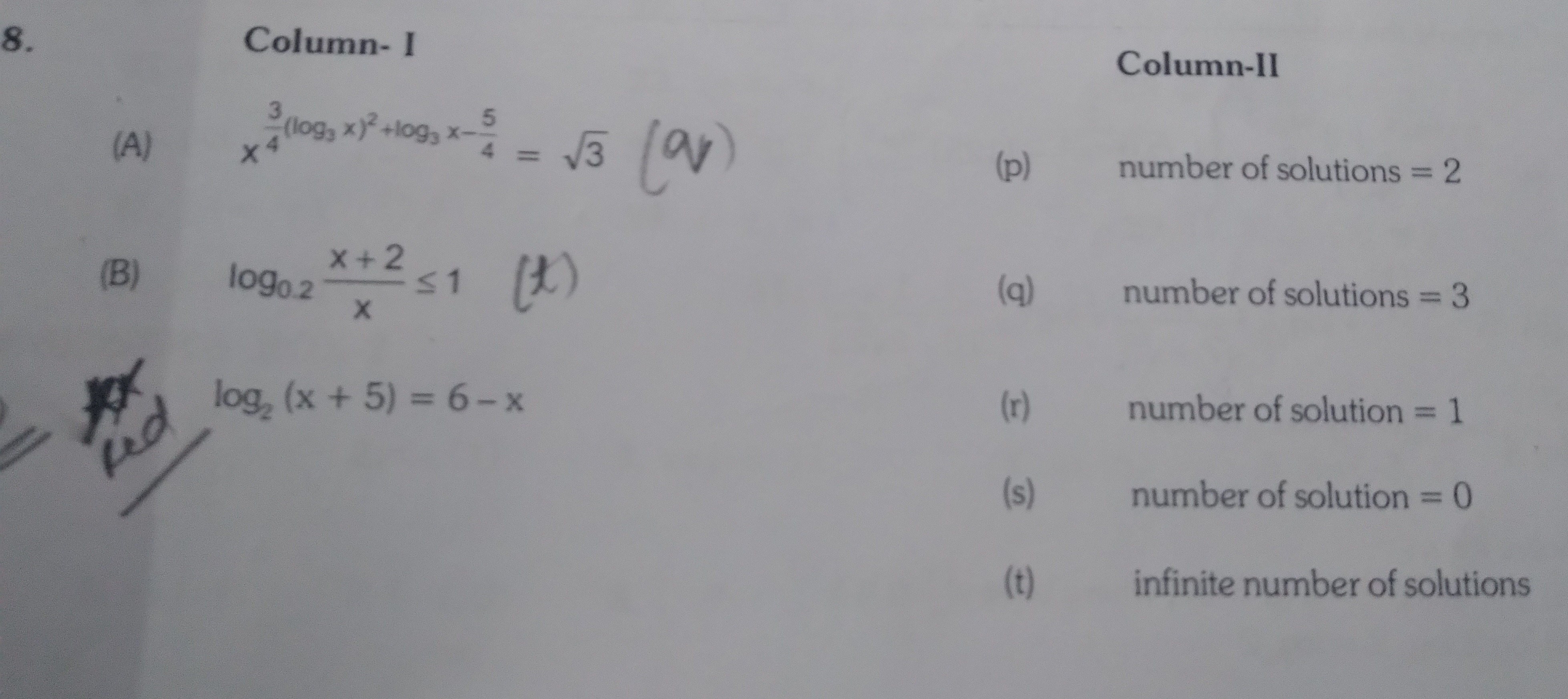
Question: Match the following: Column- I | Column-II ---|--- (A) $x^{\frac{3}{4}(log_3 x)^2 + log_3 x - \frac{...
Match the following:
| Column- I | Column-II |
|---|---|
| (A) x43(log3x)2+log3x−45=3 | (p) number of solutions = 2 |
| (q) number of solutions = 3 | |
| (r) number of solution = 1 | |
| (s) number of solution = 0 | |
| (t) infinite number of solutions | |
| (B) log0.2xx+2≤1 | |
| (C) log2(x+5)=6−x |

(A)-(q), (B)-(t), (C)-(r)
Solution
(A) Let y=log3x. The equation becomes x43y2+y−45=31/2. Taking log3 on both sides: (43y2+y−45)log3x=21log33 (43y2+y−45)y=21 43y3+y2−45y=21 Multiply by 4: 3y3+4y2−5y=2 3y3+4y2−5y−2=0 We can see that y=1 is a root: 3(1)3+4(1)2−5(1)−2=3+4−5−2=0. So (y−1) is a factor. Performing polynomial division or synthetic division: (y−1)(3y2+7y+2)=0 (y−1)(3y+1)(y+2)=0 The roots are y=1, y=−1/3, y=−2. Since y=log3x, we have: log3x=1⟹x=31=3 log3x=−1/3⟹x=3−1/3 log3x=−2⟹x=3−2 All three values of x are valid. Thus, there are 3 solutions. (q)
(B) The domain requires xx+2>0, which means x∈(−∞,−2)∪(0,∞). The inequality is log0.2xx+2≤1. Since the base 0.2<1, the inequality reverses when we remove the logarithm: xx+2≥(0.2)1=51 xx+2−51≥0 5x5(x+2)−x≥0 5x5x+10−x≥0 5x4x+10≥0 5x2(2x+5)≥0 The critical points are x=−5/2 and x=0. The inequality holds for x∈(−∞,−5/2]∪(0,∞). Intersecting this with the domain x∈(−∞,−2)∪(0,∞): The intersection is (−∞,−5/2]∪(0,∞). This set contains an infinite number of solutions. (t)
(C) The domain requires x+5>0, so x>−5. Consider the functions f(x)=log2(x+5) and g(x)=6−x. f(x) is strictly increasing for x>−5. g(x) is strictly decreasing for all x. A strictly increasing function and a strictly decreasing function can intersect at most at one point. Let's test some integer values: If x=3, f(3)=log2(3+5)=log28=3. g(3)=6−3=3. So x=3 is a solution. Since there can be at most one solution, x=3 is the unique solution. Thus, there is 1 solution. (r)
The correct matches are (A)-(q), (B)-(t), (C)-(r).
