Solveeit Logo

Question

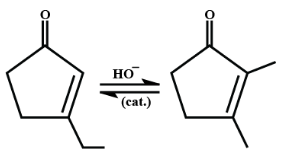
Question: Choose the most reasonable reaction intermediate for the following reaction: ![](https://www.vedan...

Choose the most reasonable reaction intermediate for the following reaction:

A.
B.
C.
D. None of these

Explanation

Solution

The reaction given above generally based on the concept of aldol condensation which occurs in aldehydes and the necessary condition for aldol condensation is presence of α\alpha hydrogens with a dilute base which gives β\beta hydroxy aldehydes known by the name aldols.

Complete step-by-step answer:
In aldol condensation enolate ions react with a carbonyl compound to form β\beta - hydroxy ketones or β\beta - hydroxy aldehydes then dehydration occurs which give conjugated enone.
To choose the most stable intermediate for the given reaction we have to follow the following steps:
1. Break the bond betweenα\alpha and β\beta carbon and attack of OHO{{H}^{-}} OHO{{H}^{-}}ion on them which can be shown as follows:

2. After the attacking of hydroxide ion retro aldol condensation takes place which opens the ring and the structure will be shown as:

3. After this step again condensation process is done which again reform it in ring shape which can be shown as:

Hence by observing the whole reaction we can consider that the option C is the correct answer, this is the intermediate in the given reaction.

Note: Aldol condensations play a very important role in organic synthesis as it creates a path to form carbon-carbon bonds. When the same type of reaction occurs with two different types of carbonyl compounds then this type of reactions are known by the name cross aldol condensation.