Question
Question: Chlorobenzene is extremely less reactive towards a nucleophilic substitution reaction. Give reasons ...
Chlorobenzene is extremely less reactive towards a nucleophilic substitution reaction. Give reasons for the same.
Solution
We know that in a nucleophilic substitution reaction, a nucleophile attacks the positively charged atom, where nucleophile is an electron-rich species. Some examples of nucleophiles are hydroxide ion, cyanide ion, etc.
Complete answer:
-The phenomenon in which delocalization of electrons causing the stabilization of molecules is known as
resonance.
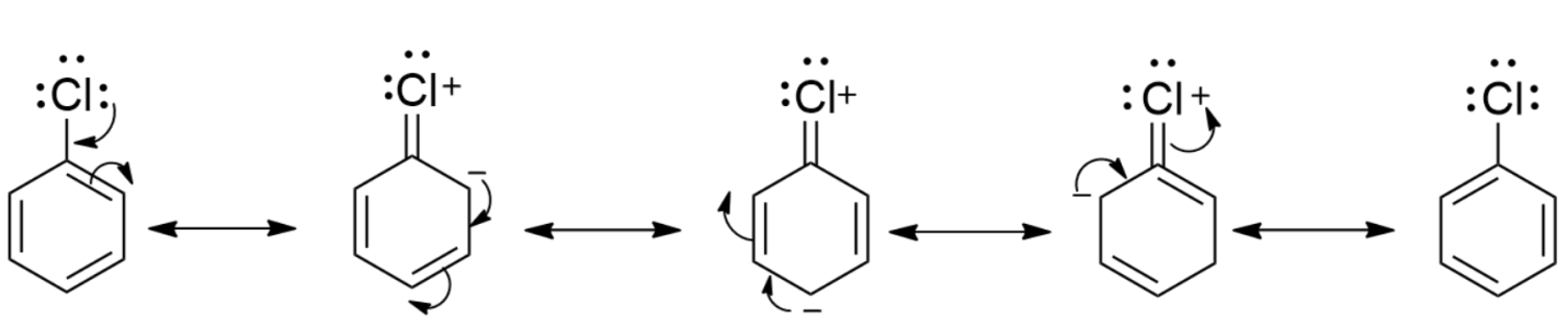
-First, we will draw the resonance in chlorobenzene. The lone pair of chlorine atoms are delocalized in the benzene ring as-

-From the resonance structures of chlorobenzene, we see that the lone pair of chlorine electrons are delocalized in the benzene ring and four resonating structures are formed. This causes the stabilization of the molecule. So, the activation energy for the displacement of halogen from benzene is very much higher than the displacement of alkyl halide.
-In chlorobenzene, the halogen atom (Cl) is bonded to a highly electronegative sp2hybridized carbon atom of the benzene ring. So, nucleophilic substitution in chlorobenzene is not possible.
-Hence, the reasons behind less reactivity of chlorobenzene towards nucleophilic substitution reactions are resonance in chlorobenzene and sp2 hybridized nature of carbon atoms bonded to the chlorine atom
Additional information:
In a chemical reaction, replacement of one group by another is known as substitution reaction. Substitution reactions are of three types, viz. electrophilic, nucleophilic and radical substitution reaction. An electrophile is a chemical species possessing electron-deficient nature and a nucleophile is a species possessing electron-rich nature.
Note:
You may get confused between nucleophilic and electrophilic substitution reaction. In electrophilic substitution, an electrophile generally displaces hydrogen atom from a compound and in nucleophilic substitution, nucleophile attacks positively charged carbon.
