Question
Question: Chloroacetic acid is a stronger acid than acetic acid. Give reason...
Chloroacetic acid is a stronger acid than acetic acid. Give reason
Solution
Hint : If one of the hydrogen is replaced with chlorine in the methyl group of acetic acid then it is known as chloro acetic acid. Chlorine being a strong electron withdrawing group uses inductive effect to pull the negative charge towards itself , resulting in reduced negative charge density on the oxygen atom, hence stabilizing the conjugate base of chloroacetic acid.
Complete step by step solution :
Chlorine being -I imparting group shift electrons towards itself from carbonyl carbon and as a consequence of which Carbonyl carbon will acquire delta + charge and to compensate, it will attract electron from hydrogen thereby making it easy for hydrogen to leave - that’s what acidity is, how easily hydrogen atom leaves a compound.
More the number of -I imparting, easier will be for carbonyl carbon to lose hydrogen. In other words, Chloroacetic acid has a chlorine atom attached to its beta carbon. Due to the inductive effect of the chlorine atom the electron density is reduced over the already weakened O-H bond in the carboxylic moiety (due to the presence of alpha carbonyl group) which in turn make it a stronger acid than acetic acid as the ease of releasing the hydrogen to the base is increased.
Let us elaborate on the Inductive effect more, the Polarisation of sigma bond due to electron withdrawing or electron donating effect of adjacent groups of atoms is called inductive effect.
δδδδ+δδδ+δδ+δ+δ− CH3↠CH2↠CH2↠CH2↠Cl
Types of inductive effect
Negative inductive effect(-I): the electron withdrawing nature of groups of atoms is called negative inductive effect. It is denoted by -I.
Following are the example of groups in the decreasing order of their -I effect:
NH3+>NO2>CN>SO3H>CHO>CO>COOH>COCl>CONH2>F>Cl>Br>I>OH>OR>NHC(CH3)3>CH(CH3)2>CH2CH3>CH3>H
Positive inductive effect (+I): the electron releasing nature of a group of atoms is called positive inductive effect. It is denoted by +I.
The decreasing order of +I effect of some electron releasing groups is as follows:-
Tertiary methyl > secondary methyl > primary methyl > hydrogen.
The relative stability of the conjugate bases is responsible for the strength of their respective acids. In case of chloro acetic acid, due to —I effect of chlorine atom, the conjugate base of chloro acetic acid gets stability. On the other hand, in case of acetic acid, the stability of acetate anion that is the conjugate base of acetic acid becomes less stable due to+ I effect of methyl group. Hence chloro acetic acid is more acidic than acetic acid.

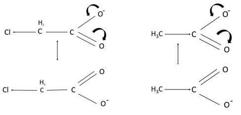
This diagram shows inductive effects in both acetic acid and chloroacetic acid.

This diagram depicts that the conjugate base of chloroacetic acid is more stable than acetic acid.
Note : The strength of an acid depends on the extent of its ionization to give protons. The carboxylate anion is formed on deprotonation of carboxylic acids. The anion is stabilized by resonance (i.e. the charge spreads over both oxygen atoms) but can also be stabilized by the R group if this has -I effect.
