Question
Question: Cellulose upon acetylation with excess acetic anhydride/ \({{\text{H}}_{\text{2}}}{\text{S}}{{\text{...
Cellulose upon acetylation with excess acetic anhydride/ H2SO4 (catalytic) gives cellulose triacetate whose structure is:


Solution
To answer this question we should know the structure of cellulose, its structural unit and bonding between structural units. Acetylation is the conversion of an alcoholic group into an acetyl group. So, we will draw the structure of the cellulose and then we will replace the every –OH group into acetyl group to obtain the structure of triacetate. As we obtain the triacetate so, we will draw only three structural units of cellulose.
Complete solution:
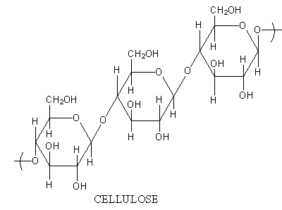
Cellulose is linear chains of β-D-glucose molecules linked together byβ−1,4glycosidic bonds. Cellulose has β−1,4 linkage between glucose units. The cellulose is a linear molecule.

A general reaction of alcohol with acetic anhydride is shown as follows:

Acetic anhydride reacts with the alcoholic function group and converts the alcoholic function group into ester functional group. The –OH is known as an alcoholic functional group. The −OC(O)− is known as an ester functional group. During the conversion hydrogen of alcoholic group is replaced by CH3CO− group of acetic anhydride. The above reaction is known as acetylation because acetyl group CH3CO− is attaching with the reactant alcohol.
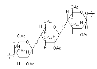
So, upon acetylation of cellulose with excess acetic anhydride/ H2SO4 (catalytic) all the –OH group will convert into acetyl group.
As the cellulose contains a large number of glucose units but our product is triacetate. It means the alcohol group of three glucose units of cellulose is converted into acetyl group. As the acetic anhydride is in excess, all alcoholic groups of three glucose units of cellulose will convert into acetyl groups.
So, the structure of the product is,

Each glucose unit of cellulose has three alcoholic groups, so a total of nine alcoholic groups convert into acetyl to give triacetate. The above structure is triacetate of cellulose.
Therefore, option (A) is correct.
Note: The option (C) also has acetyl group in place of each –OH group but the given structure is not correct. Because the structure given in option (C) corresponds to the formation of cellulose by alpha-d-glucose whereas the cellulose has alpha-d-glucose. The difference between alpha and beta d-glucose is shown as follows:

