Question
Question: Benzene diazonium chloride on reaction with phenol in a basic medium gives: A) diphenyl ether B)...
Benzene diazonium chloride on reaction with phenol in a basic medium gives:
A) diphenyl ether
B) p-Hydroxy azobenzene
C) chlorobenzene
D) benzene
Solution
When the concentration of OH- ion in solution is more, it is basic in nature. We call such a solution a basic medium.
Complete step by step answer:
Benzene diazonium chloride in reaction with phenol in a basic medium gives p-Hydroxy azobenzene.

So, out of the given options, B is the correct option, that is, p-Hydroxy azobenzene.
Additional information:
The structure of Benzene diazonium chloride is

And the structure of p-Hydroxy azobenzene is,

Benzene diazonium chloride has the chemical formula C6H5ClN2. Benzene diazonium chloride is a salt of a chloride and diazonium cation. Benzene diazonium chloride exists as a colourless solid and it is soluble in polar solvents such as in water. It acts as the parent member of the aryl diazonium compounds. This compound is widely used in organic chemistry. As this salt is unstable, it is not available commercially but is prepared according to the demand. p-hydroxyazobenzene has chemical formula Cl2H10N20 and has the atomic number 198.221. It has a density of 1.13g/cm3, and has a boiling point of 369.812oC and has a refractive index of 1.596.
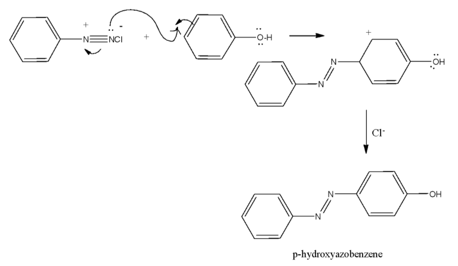
The mechanism for the reaction of benzene diazonium chloride on reaction with phenol can be given as follows:

Note:
Benzene diazonium chloride has the chemical formula C6H5ClN2. This compound is soluble in polar solvent and it exists as a colourless solid.
