Question
Question: Allyl cyanide has: A.9 sigma bonds and 4 pi bonds B.9 sigma bonds ,3 pi bonds and 1 lone pair ...
Allyl cyanide has:
A.9 sigma bonds and 4 pi bonds
B.9 sigma bonds ,3 pi bonds and 1 lone pair
C.8 sigma bonds and 5 pi bonds
D.8 sigma bonds ,3 pi bonds
Solution
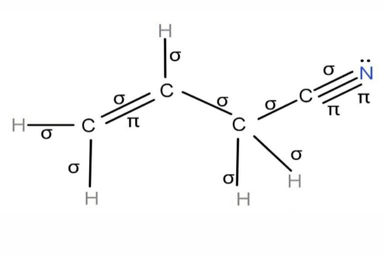
Allyl cyanide means C=C part attached to cyanide group through a CH2
group. We have to draw the structure of allyl cyanide and count the number of types of bond present in it. In an easy way we can take it as follows,
1.Single bond contains one sigma bond
2.Double bond contains one sigma and one pi bond
3.Triple bond contains one sigma and two pi bonds.
Number of lone pairs can be counted by looking at the valence shell electrons of all atoms participating in the bond.
Sigma bond (σ) is formed through the overlapping of two orbits along the internuclear axis (the line passing through the center of two nuclei).
pi bond (π) is formed through the overlap between two orbitals perpendicular to the internuclear axis, that is sidewise overlap. According to hybridization concept, hybridized orbital overlap to form sigma bond and unhybridized p orbital forms pi bond.
Complete step by step solution:
The chemical formula of allyl cyanide is C4H5N .The chemical structure of allyl cyanide is given.

In this structure there are C−H bonds, C−C bonds and C−N bonds. So, we have to check which type of bonds are present in C−H , C−C and C−N bonds. For this we have to know valence shell electron configuration and how this bond formed between atoms.
C (ground state):

C (excited state):

N (ground state):

There are 4 valence electrons in the carbon atom, 5 valence electrons in the nitrogen atom and 1 electron in the hydrogen atom. C−H bond is formed through the overlap between 2s orbital of carbon and 1s orbital of hydrogen. Overlap between s-s orbital will always be head-on overlap, that is overlap takes place along the internuclear axis. So C−H bonds are sigma bonds.
C−C bonds can be formed by the head-on overlap of 2px orbital of 2 carbon atom and sidewise overlap of 2py or 2pz orbitals of two carbon atoms. Head-on overlap of p orbital results in sigma bond and sidewise overlap results in pi bonds. That is a double bond contains 1 sigma and 1 pi, the triple bond contains 1 sigma and 2 pi bonds.
In C−N triple bond two pi bonds and one sigma bond is present. One 2s and one of the 2p orbits will be hybridized. N has 5 valence electrons. Three of them are shared with carbon and the remaining two electrons stay as lone pairs.
Here by looking at the structure we can understand that there are 9 sigma bonds,3 pi bonds and one lone pair of electrons present on the atom. Hence the correct answer is B.
Note: Chemical bond is formed by the force of attraction between atoms, ions or molecules to form a compound. There are different types of chemical bonds, they are ionic, covalent and coordinate bonds. Ionic bond is formed by the transfer of electrons between atoms, covalent bond is formed by sharing of electrons and coordinate bond is a type of bond in which both the shared electrons are provided by one of the atoms. Hydrogen bonding is another type of bonding which is the weakest interaction. It is a type of van der waals interaction. Covalent bond is the strongest bond among these.
