Question
Question: a) Write the structures of the main products of below reactions:  Write the structures of the main products of below reactions:



b) Give chemical tests to distinguish between:
i) Phenol and benzoic acid
ii) Benzophenone and Acetophenone
Solution
-Benzene can be converted into benzophenone by Friedel-crafts acylation.
-p-Nitrotoluene converts into p-nitrobenzaldehyde by Etard Reaction.
-Ferric chloride test is used to distinguish phenol and benzoic acid.
-Iodoform test is used to distinguish benzophenone and acetophenone.
Complete answer:
a) (i) 
-The above reaction is called friedel-crafts acylation.
(ii) 
-When Propyne is treated with dilute sulphuric acid in presence of mercury (II) sulphate, the major product formed is acetone.
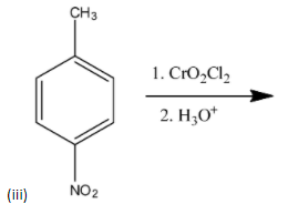
(iii) 
-The above reaction is called Etard reaction and the product formed is p-nitrobenzaldehyde.
b) Tests to distinguish the following chemicals
i) Phenol and benzoic acid - Phenol does not react with sodium bicarbonate (NaHCO3) and benzoic acid gives effervescence of carbon dioxide (CO2) gas upon reaction with sodium hydrogen carbonate.
- Phenol and benzoic acid can be distinguished by using ferric chloride test.
- Ferric chloride test: Phenol reacts with neutral ferric chloride to form ferric phenoxide complex having violet color. Phenol gives violet color with ferric chloride solution but benzoic acid does not give violet color.
ii) Benzophenone and Acetophenone -Benzophenone and Acetophenone can be distinguished easily by using iodoform test.
-Iodoform test: Acetophenone, contains a methyl ketone on treatment with I2/NaOH undergoes iodoform reaction to give a yellow precipitate. On the other hand, benzophenone does not have a methyl group. So, benzophenone does not give iodoform test.
Note: Don’t be confused with the terms Phenol and benzoic acid, Benzophenone and Acetophenone. In phenol there is an alcohol functional group and in benzoic and there is a carboxylic acid functional group.

In acetophenone there is a methyl group but in benzophenone two phenyl groups are attached through carbonyl groups.

