Question
Question: A wire is parallel to one arm of the square current carrying loop, which also carries current . Now ...
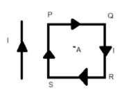
A wire is parallel to one arm of the square current carrying loop, which also carries current . Now at any point A within the coil, the magnetic field will be
A. Less than the magnetic field produced due to loop only
B. More than the magnetic field produced due to loop only
C. Equal to the either
D. Zero

Solution
Hint : In order to solve this question, we are going to find the magnetic field due to the loop only, and the total magnetic field that is present at the point A both due to the straight wire and the loop and then check with the options.
In order to find the direction of the magnetic field, the right hand’s thumb rule is used. According to this, if we align our thumb with the current flowing in a wire, then our curled up fingers give the direction of the magnetic field.
Complete Step By Step Answer:
Taking the straight wire carrying current I , the magnetic field due to the wire at the point A is in the direction
−k^
Now the magnetic field at the point A inside the coil is due to all the four sides,
Therefore, magnetic field due to side PQ and RS are in −k^ direction
And also the magnetic fields due to the sides QR and SP are in −k^ direction
This implies that all the elements of the magnetic fields add on to give the total magnetic field at point A in −k^ direction
Therefore, the magnetic field is definitely more than that of the loop only.
Hence, option B is correct.
Note :
In the question, we were given options and that’s why the solution required the direction of the magnetic field only. However, the magnitude can also be found using the formula, but for that the side of the square is required.
