Question
Question: A) What are monosaccharides? Write the definition? B.1) Name the product yields from the complete ...
A) What are monosaccharides? Write the definition?
B.1) Name the product yields from the complete hydrolysis of DNA?
2.) Write the structural formula of sugar moiety in DNA and RNA?
C) Write the name of method related with DNA to identify the dead body in any accident?
Solution
i) Hydrolysis is any chemical reaction in which a molecule of water ruptures one or more chemical bonds. The term is used broadly for substitution, elimination and solvation reactions in which water is nucleophile.
ii) Moiety is a term that means a part or a portion. So, sugar moiety means sugar molecules in a compound.
Complete Step by Step Solution: A) Monosaccharides also called as simple sugar, are the simplest form of sugar and the most basic unit of carbohydrates. They cannot be further hydrolyzed to simple chemical compounds. The general formula is CnH2nOn. They are usually colorless, water soluble, and crystalline solids. Some monosaccharides have sweet taste. But all compounds that fit in this general formula may not be considered as carbohydrates. For e.g. Acetic acid that fits in this formula is not a carbohydrate.
B. (1) Hydrolysis reaction can be reverse of condensation reaction in which two molecules join together into a larger one and eject a water molecule. Thus, hydrolysis adds water to break down where a condensation builds up by removing water and other solvents. The product yield from complex hydrolysis of are sugar (β−D−2−deoxyribose), nitrogen base (adenine and guanine containing purine ring and cytosine and thymine containing pyrimidine ring) and phosphoric acid.
(2) A moiety is a part of a molecule which is typically given a name as it can be found within other kinds of molecules as well. The term moiety should be reversed to describe large characteristic parts of molecules and not used to describe small functional groups.
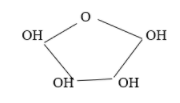
The structural formula of sugar moiety in DNA and RNA is:

C. The name of a method related to DNA to identify a dead body in an accident is fingerprinting. DNA fingerprinting is a method used to identify an individual from a sample of DNA by looking at a unique pattern in their DNA.
Note: DNA fingerprinting is a method that simultaneously detects lots of minisatellites in the genome to produce a pattern unique to an individual. Just like an actual fingerprint your DNA fingerprint is something you are born with.
DNA (deoxyribonucleic acid) is a genomic material in cells that contains the genetic information used in the development and functioning of all known living organisms. DNA along with RNA and proteins are one of the three major macromolecules essential for life.
RNA is another macromolecule essential for all forms of life. Like DNA, RNA is made up of nucleotides.
