Question
Question: A compound (A) of molecular formula \[{C_7}{H_{8}}O\;\]is insoluble in water and dilute sodium bicar...
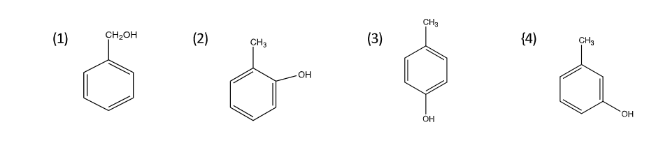
A compound (A) of molecular formula C7H8Ois insoluble in water and dilute sodium bicarbonate but dissolves in dilute aqueous sodium hydroxide and gives a characteristic colour with aqueousFeCl3. On treatment with bromine water, it readily gives a precipitate ofC7H5OBr3 . Write down the structure of the compound (A).

Solution
We all are familiar with the fact that Benzyl alcohol is a colourless liquid with a mild pleasant aromatic odour. It is a useful solvent due to its polarity, low toxicity, and low vapor pressure.
Benzyl alcohol has moderate solubility in water (4 g/100 mL)and is miscible in alcohols and diethyl ether.
Again, Benzyl alcohol has a methylene (−−CH2−−) group separating the phenyl ring and the anionic oxygen in the conjugate base and hence prevents resonance stabilization of the conjugate base. Hence phenol is stronger acid than benzyl alcohol and hence the latter doesn't dissolve in NaOH .
So we can conclude that since, the compound is insoluble in water and NaHCO3 but dissolve in NaOH and gives characteristic colour with FeCl3, hence it must be phenol i.e,o−, p− or m−cresol.
Complete step by step answer:
We can discuss this problem as following ;-
phenols are weak acids, they will react with bases. If phenol is reacted withNaOH (a strong base) , it is completely converted to the phenoxide ion, which is soluble in water because it is charged. Phenol itself is not very soluble in water.
Sodium Bicarbonate is a weak base(Na+ HCO3−). So, it easily accepts protons when reacting with a stronger acid like a carbonic acid, but its not strong enough to pull the proton off phenol. Using a stronger base, like NaOH, it can pull the proton off the phenol.That's why phenol is not soluble in sodium bicarbonate.
Phenols show acidic nature and hence are soluble in alkalies like NaOH, Na2CO3etc. The acidic nature is due to formation of resonance stabilized phenoxide ion formed by losing a proton from −OH group.Thus more and more phenol is converted to phenoxide ion that is soluble in water.

Now it’s also known to all of you that Phenols form a complex with ferric ions. This complex has an intense colour, which may vary from blue, green or even red depending upon the nature of the phenol. Here in case of cresols we can see As an example using the chemical phenol itself:
6 PhOH + Fe3+→ [Fe(OPh)6]3−
As we know electron donating −OHgroup is ortho and para directing group ; so now among all three cresols, o− cresol forms Ortho and para bromo derivatives with respect to −OHgroup. So in this complex there will be two Br atoms.

Also p− cresol forms Ortho bromo derivatives with respect to the −OHgroup. So in this complex there will be two Br atoms;

But in case of m-cresol we can see it forms Ortho and para bromo derivatives with respect to −OH group. So in this complex there will be total three Br atoms;

Hence, Option 4 is correct.
Note: You should take care of choosing the correct structure because C7H8O can also give another structure like–

This structure also readily gives a precipitate ofC7H5OBr3

