Question
Question: 1-Bromobutane on reaction with alcoholic \(\text{ KOH }\) gives: A) 1-Butene B) 1-Butanol C) ...
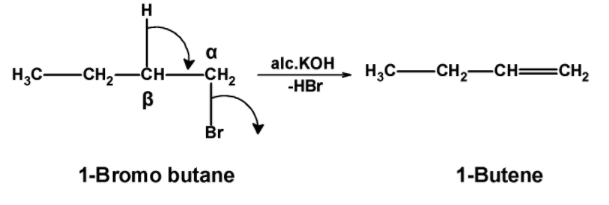
1-Bromobutane on reaction with alcoholic KOH gives:
A) 1-Butene
B) 1-Butanol
C) 2-Butene
D) 2-Butanol
Solution
When haloalkanes with β− hydrogen atoms are boiled with an alcoholic solution of potassium hydroxide, they undergo the elimination of hydrogen halide (HX) resulting in the formation of alkenes. These reactions are known as the dehydrohalogenation or β− elimination reactions. The major product is obtained by Saytzeff’s rule.
Complete step by step solution:
When haloalkanes with β− hydrogen atoms are boiled with an alcoholic solution of potassium hydroxide, they undergo the elimination of hydrogen halide (HX) resulting in the formation of alkenes. The general reaction of the dehydrohalogenation of the haloalkanes is as shown below,

These reactions are called the β− elimination reactions because the hydrogen atom present at the β− position of haloalkanes (i.e. at the carbon atom next to that which carries the halogen) is removed.
These reactions are also known as the dehydrohalogenation reaction (removal of hydrogen halide) reactions. The elimination reaction occurs by the abstraction of a proton from a carbon atom next to the carbon bearing halogen atom and halide ion is also resulting in a new pi-bond.
The 1-Bromobutane reacts with the alcoholic potassium hydroxide KOH . Here, bromine (halogen group) is at the α position and hydrogen is at the β position. when boiled with
KOH , hydrogen atom transfers its electron pair to the adjacent carbon-carbon bond, and bromide is removed from the molecule. This forms a double bond between the alpha and beta carbon atom and gives a1-butene as the product.

Thus, 1-Bromobutane on reaction with alcohol KOH gives 1-butene.
Hence, (A) is the correct option.
Note: In the case of haloalkanes which has more than one β− position can eliminate the hydrogen halide in two different ways, then that alkene will be preferred in which carbon atoms joined by the double bond are maximum alkylated i.e. contain the largest number of alkyl groups. This rule is called Saytzeff’s rule. The rule gives the major product formed in the β− elimination reaction. Here ,1-bromobutane has one β− position thus there would be only one major product.
